Quadrifoglio
   

Indietro


Tracciamo le mediane del quadrato:

Come si vede ogni foglia è racchiusa in un quadrato di lato a/2. Essendo uguali le quattro foglie possiamo determinare l'area di una sola foglia e poi moltiplicarla per quattro. L'area di una sola foglia si ottiene togliendo dall'area del quadrato di lato a/2 le aree delle due parti colorate di giallo come si vede in figura:

E ogni parte colorata di giallo si ottiene togliendo dall'area del quadrato un settore circolare di ampiezza 90°.

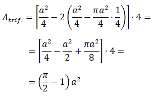
L'area del trifoglio è quindi: