Indietro
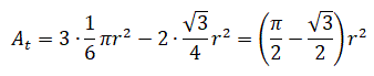
Il triangolo rettilineo ABC è equilatero: Possiamo ottenere l'area del triangolo di Reuleaux togliendo dall'area di tre settori circolari di ampiezza 60° e raggio r l'area di due triangoli equilateri ABC. L'area del triangolo di Reuleaux è quindi:
Il triangolo rettilineo ABC è equilatero:
Possiamo ottenere l'area del triangolo di Reuleaux togliendo dall'area di tre settori circolari di ampiezza 60° e raggio r l'area di due triangoli equilateri ABC.
L'area del triangolo di Reuleaux è quindi: