Triangolo curvilineo
   

Indietro


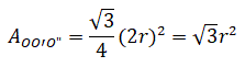
Uniamo i tre centri dei cerchi:

Il triangolo OO'O" è equilatero con il lato di 2r e la sua area è:

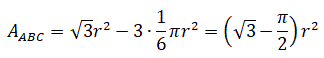
Per ottenere l'area del triangolo curvilineo bisogna togliere dall'area del triangolo OO'O" le aree dei tre settori circolari ognuna delle quali vale 1/6 dell'area di un cerchio di raggio r.