Indietro
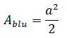
Tracciamo una diagonale e una semidiagonale del quadrato e coloriamo le parti conguenti con lo stesso colore come si vede in figura. Come si vede la parte colorata del quesito è equivalente alla metà del quadrato di lato a e quindi la sua area è:
Tracciamo una diagonale e una semidiagonale del quadrato e coloriamo le parti conguenti con lo stesso colore come si vede in figura.
Come si vede la parte colorata del quesito è equivalente alla metà del quadrato di lato a e quindi la sua area è: