Trifoglio
   

Indietro


Osservando la figura:

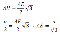
L'area del trifoglio è uguale a sei volte l'area del segmento circolare evidenziato in figura. L'area del segmento circolare è dato dalla differenza tra il settore circolare AED e il triangolo equilatero ADE. L'altezza del triangolo AED è a/2 e quindi il lato AE del triangolo è:

L'area del trifoglio è: