Lente
   

Indietro


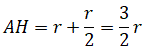
Il triangolo ABC in figura è equilatero:

E l'altezza AH è:

Conoscendo l'altezza del triangolo equilatero in funzione di r possiamo determinare il lato BC del triangolo in funzione di r:

Dalla figura:

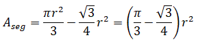
Possiamo osservare che il segmento circolare di colore blu è dato dalla differenza tra l'area del settore circolare di ampiezza 120° e raggio r e il triangolo isoscele OBC. L'area del settore circolare è:

L'area del triangolo OBC è:

L'area del segmento circolare è:

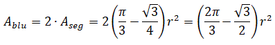
Essendo l'area del segmento circolare la metà dell'area della zona colorata del quesito si ha: