Un cerchio e un quarto di cerchio
   

Indietro


Indichiamo con S5 la rimanente parte di cerchio:

La somma S1+S5 rappresenta la superficie del cerchio di raggio a che ha per area:

S1+S5 = Πa2

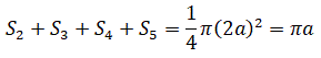
La somma S2+S3+S4+S5 rappresenta la superficie del quarto di cerchio di raggio 2a che ha per area:

Come si vede l'area del cerchio di raggio a è uguale all'area del quarto di cerchio di raggio 2a e quindi possiamo scrivere l'uguaglianza:

S1+S5 = S2+S3+S4+S5

E eliminando il termine S5 comune ai due membri si ottiene:

S1 = S2+S3+S4