Parte colorata 2
   

Indietro


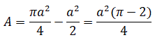
Se ruotiamo di 90° in senso orario rispetto al punto A la parte colorata in rosso e ruotiamo di 90° in senso antiorario rispetto al punto A la parte colorata in viola possiamo facilmente notare che le tre superficie colorate sono equivalenti a un segmento circolare.

Pertanto, la superficie colorata è uguale alla differenza tra il settore circolare uguale a un quarto di cerchio di raggio a e il triangolo rettangolo isoscele di cateto a.