Quattro lunule in un quadrato
   

Indietro


Osserviamo la figura:

L'area di una sola lunula si ottiene togliendo dal semicerchio di raggio 3 il segmento circolare che ha per corda il lato del triangolo equilatero.

Area del semicerchio di raggio 3:

L'area del segmento circolare si ottiene togliendo dal settore circolare con un angolo di 120° e raggio R il triangolo AOB.

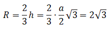
Il raggio R è uguale ai 2/3 dell'altezza del triangolo equilatero e l'altezza del triangolo è uguale alla metà del lato del triangolo per la radice di tre:

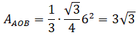
L'area del triangolo AOB è equivalente a un terzo dell'area del triangolo equilatero e cioè:

L'area del settore è:

Pertanto, l'area di una sola lunula è:

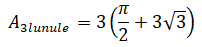
E la somma delle aree delle tre lunule è: