Tre petali
   

Indietro


Osservando la figura:

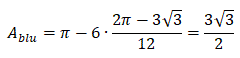
Possiamo comprendere che l'area della parte colorata di blu si ottiene togliendo dall'area del cerchio di raggio 1 sei segmenti circolari sottesi da un angolo di 60° con raggio 1.

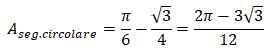
Area di un solo segmento circolare:

Area della zona colorata in blu: