Parte colorata 9
   

Indietro


Osservando la seguente figura:

Possiamo comprendere che l'area della parte colorata di blu si ottiene togliendo dall'area del semicerchio di diametro a due semicerchi di raggio a/4 e un cerchio di cui non si conosce il raggio.

Area del semicerchio di diametro a:

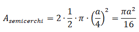
Area dei due semicerchi di raggio a/4:

Per calcolare il raggio del cerchio consideriamo il triangolo rettangolo ABC:

BC = BD - CD = a/2 - r;     AC = a/4 + r;     AB = a/4

E applicando il teorema di Pitagora si ottiene:

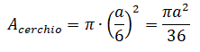
Area del cerchio:

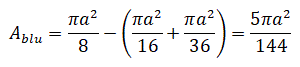
Area della zona colorata in blu: