Parte colorata 8
   

Indietro


Osservando la seguente figura:

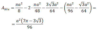
Possiamo comprendere che l'area della parte colorata di blu si ottiene togliendo dall'area del semicerchio di diametro a due settori circolari un trapezio (formato da tre triangoli equilateri) e un segmento circolare a una base.

Area del semicerchio di diametro a:

Area del settore circolare di ampiezza 120°:

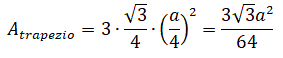
Area del trapezio:

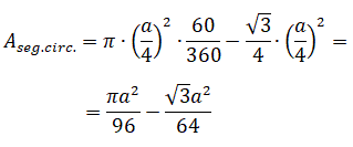
Area del segmento circolare:

Area della zona colorata in blu: