Parte colorata 7
   

Indietro


La strategia è quella di togliere dall'area di tutto il quadrato di lato a quattro regioni congruenti come si vede in figura:

Possiamo determinare una delle quattro regioni congruenti togliendo da un quarto di cerchio di raggio a il settore circolare sotteso da un angolo di 60° e raggio a, e il segmento circolare come si vede in figura:

Area del quarto di cerchio:

Area del settore circolare (indicato con la lettera A):

Area del segmento circolare (indicato con la lettera B):

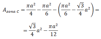
Area della zona colorata C:

Area della parte colorata blu: