Modello parabolico

La parabola è una conica, fu il matematico greco Apollonio di Perga (262-190 a.C.) a scoprire che le curve circonferenza, parabola, ellisse e iperbole si possono ottenere facilmente come sezioni di un cono a doppia falda variando semplicemente l'inclinazione del piano secante.

In particolare, la parabola si ottiene quando il piano secante è parallelo a una delle rette generatrici del cono a doppia falda. La parabola appartiene a una sola delle falde del cono e non è una curva chiusa.

La parabola viene anche definita come un luogo geometrico:

La parabola è il luogo dei punti del piano equidistanti da un punto fisso F detto fuoco e da una retta fissa d detta direttrice che non lo contiene.

Fin dall'antichità, si conosceva la proprietà focale della parabola. Data una parabola avente fuoco in F, consideriamo un generico punto P sulla parabola, la retta r tangente alla parabola nel punto P e la retta t perpendicolare alla tangente in P. Tracciamo la semiretta s parallela all'asse della parabola e avente un estremo in P. La semiretta s' simmetrica di s rispetto alla retta t passerà per il fuoco F della parabola comunque venga scelto il punto P.

Questa particolare proprietà della parabola è stata utilizzata, dagli antichi greci, per realizzare uno specchio ustorio. Nello specchio ustorio la superficie è quella di un paraboloide cioè una superficie ottenuta dalla rotazione di una parabola attorno al suo asse e quindi il profilo di tale specchio è una parabola.

Questa superficie era realizzata con un metallo ben levigato e riflettente. Tutti i raggi solari che arrivano sulla superficie dello specchio parabolico sono paralleli all'asse dello specchio e quindi vengono riflessi dallo specchio nel suo fuoco.

In questo punto si crea una forte concentrazione di calore sufficiente ad incendiare del materiale infiammabile. Una leggenda racconta che Archimede abbia inventato degli specchi ustori e li abbia usati per incendiare le navi romane che assediavano la città di Siracusa nel 212 a.C.

Attualmente gli specchi ustori parabolici sono utilizzati per la produzione green dell'energia elettrica sfruttando l'energia solare. Ad esempio, l'ENEL in collaborazione con l'ENEA ha realizzato, nel 2010 in Sicilia presso Siracusa, una centrale elettrica termosolare chiamata Archimede con lunghe file di specchi parabolici. Questo impianto è in grado di fornire energia elettrica a circa 5000 famiglie.

In questo impianto i raggi solari vengono concentrati, tramite lunghe file di specchi parabolici, su un tubo pieno di sale fuso posto lungo i fuochi degli specchi. Il sale fuso viene cosí riscaldato a una temperatura di 550°. Poi tramite uno scambiatore di calore il sale fuso cede una parte del calore all'acqua che vaporizza ad alta pressione e temperatura. Il vapore viene poi convogliato per muovere una turbina che genera energia elettrica.

Gli specchi ustori parabolici sono stati adottati per realizzare cucine solari nei paesi caldi del terzo mondo per sopperire alla carenza di fonti energetiche.

All'inizio del XX secolo si scoprí che la luce è un'onda elettromagnetica simile alle onde radio, ai raggi ultravioletti e ai raggi x e quindi fu del tutto naturale comprendere che una superficie parabolica può focalizzare sia i raggi solari, sia le onde radio sia i raggi x. Per questo motivo la forma delle antenne televisive (che ricevono i segnali provenienti direttamente da un satellite geostazionario) e dei radiotelescopi è quella di una superficie parabolica.

Le onde radio provenienti dal satellite sono paralleli all'asse dell'antenna e quindi vengono riflessi nel fuoco dove un ricevitore decodifica le informazioni che vengono inviate all'apparecchio televisivo.

La proprietà focale della parabola può essere interpretata nel modo inverso. Data una parabola avente fuoco in F, consideriamo un generico punto P sulla parabola, la retta r tangente alla parabola nel punto P e la retta t perpendicolare alla tangente in P. Tracciamo la semiretta s avente origine in F e intersechi la parabola nel punto P. La semiretta s' simmetrica di s rispetto alla retta t sarà parallela all'asse della parabola comunque venga scelto il punto P.

Se utilizziamo uno specchio parabolico e poniamo una sorgente luminosa nel fuoco dello specchio i raggi emessi dalla sorgente si riflettono sullo specchio e formano un fascio luminoso parallelo all'asse dello specchio.

Anche questa proprietà della parabola è stata utilizzata dagli antichi greci per realizzare il famoso faro di Alessandria una delle sette meraviglie del mondo. Il faro costruito intorno al 250 a.C. era alto 135 metri e per segnalare la posizione del porto sulla sommità erano posizionati specchi parabolici di bronzo lucido che di notte riflettevano la luce delle lampade posizionate nel fuoco degli specchi.

Il faro di un'automobile è formato da uno specchio parabolico nel cui fuoco è posizionata una lampadina in questo modo quando la lampadina è accesa lo specchio emette un fascio di raggi luminosi paralleli all'asse dello specchio.

Con lo stesso principio funzionano le pile tascabili


Dalla doppia proprità focale della parabola ne deriva che un'antenna parabolica può sia ricevere i segnali trasmessi dal satellite ponendo un dispositivo ricevente nel fuoco in grado di convertire i segnali che dal satellite giungono alla parabola, sia inviare segnali al satellite ponendo dispositivo trasmittente nel fuoco.


Con uno specchio parabolico molto grande si possono ottenere immagini molto nitide perchè riescono ad ovviare alla aberrazione cromatica. Con lo sviluppo tecnologico è stato possibile creare grandi specchi parabolici molto precisi tanto da poter realizzare telescopi riflettori per le osservazioni astronomiche. Ricordiamo che il primo telescopio fu costruito da Galileo Galilei nel 1609, ed era costituito da un tubo di legno e da due lenti una convessa e l'altra concava poste alle estremità dette rispettivamente obiettivo e oculare.


Con un telescopio è possibile osservare oggetti infinitamente lontani e Galilei con il suo telescopio potè vedere, per la prima volta nella storia dell'uomo, le montagne della Luna. Il telescopio di Galilei fu, nel corso del tempo più volte perfezionato, in modo da ampliare il campo visivo, ma non si riuscí ad eliminare del tutto l'aberrazione cromatica causata sia da difetti di lavorazioni delle lenti sia dal fenomeno di rifrazione della luce; un raggio di luce cambia direzione quando passa da un mezzo ad un altro ad esempio quando passa dall'aria al vetro e viceversa. Per ridurre questo fenomeno si utilizza una lente sottile o una combinazione di due lenti. Con un telescopio si osservano oggetti molto lontani e poco luminosi e quindi per poter vederli con una buona risoluzione è opportuno che abbia un obiettivo con un diametro molto grande. E' difficile tecnicamente costruire una lente sottile molto grande mentre è più semplice realizzare uno specchio parabolico con un grande diametro. La più grande lente per un telescopio misura soltanto 1 m mentre il telescopio Keck II, costruito nel 1996 ha uno specchio parabolico con il diametro di 10 m. Per eliminare l'inquinamento luminoso e per poter studiare anche le lunghezze d'onde normalmente assorbite dall'atmosfera e che non possono essere rilevate dai telescopi terrestri sono stati costruiti telescopi spaziali. Il telescopio spaziale Hubble, lanciato nel 1990, ha uno specchio parabolico di 2,4 metri di diametro e ha permesso di ottenere sia particolari immagini delle nebulose e delle galassie sia misurazioni più precise per poter stabilire una migliore stima dell'età dell'universo.

Nell'ultimo secolo sono stati costruiti molti radiotelescopi parabolici, sparsi per il mondo con lo scopo di rilevare le onde radio emesse da alcune sorgenti come le stelle di neutroni dette pulsar, per studiare i fenomeni astronomici e per le comunicazioni con le sonde spaziali.

Nei ponti sospesi i cavi portanti che sostengono, mediante tiranti verticali in acciaio, il piano stradale sospeso tra due torri assumano la forma di una parabola. Il ponte sullo stretto del Golden Gate sulla baia a San Francisco costruito nel 1937 è il più famoso ponte sospeso ed è considerato il simbolo di San Francisco in tutto il mondo.

Un cavo omogeneo sospeso orizzontalmente ai suoi due estremi e non soggetto ad alcuna altra forza che non sia il proprio peso si dispone lungo una curva chiamata catenaria. La catenaria è molto simile a una parabola ma non è una parabola come si può vedere dalla seguente figura:

Ora, se al cavo omogeneo sospeso ai due estremi vengono messi dei tiranti verticali, le forze di tensione esercitate dai tiranti modificano la disposizione del cavo facendola assumere la forma di una parabola. Conoscere e saper calcolare la forma precisa della curva che assume il cavo portante pemette in fase di progettazione di poter stabilire le esatte lunghezze dei tiranti.

Il matematico e filosofo francese Reneè Descartes (1596-1650) italianizzato in Cartesio ebbe l'idea di tradurre in modo sistematico il linguaggio geometrico nel linguaggio algebrico. In questo modo, oggetti geometrici come linee rette o curve sono rappresentati, nel piano detto in suo onore cartesiano, con equazioni. In particolare, una generica parabola è rappresentata nel piano cartesiano mediante l'equazione quadratica:

y = ax2 + bx + c

dove y e x sono rispettivamente la variabile dipendente e la variabile indipendente, mentre a, b e c sono i coefficienti ossia numeri reali. Ecco ad esempio, la rappresentazione nel piano cartesiano della parabola che ha per equazione y = 0,5x2-3x+2.

L'equazione quadratica è utilizzata per descrivere un moto vario cioè il moto di un corpo che ha una velocità variabile (in modulo o in direzione). Per indicare l'entità della variazione della velocità al trascorrere del tempo si utilizza la grandezza chiamata accelerazione definita come il rapporto fra la variazione di velocità e l'intervallo di tempo.

  • Moto vario con velocità variabile in modulo

    Il moto vario più semplice è quello in cui il modulo del vettore velocità aumenta in modo lineare e quindi con una accelerazione costante. Questo tipo di moto è detto moto uniformemente accelerato e descritto da due leggi una lineare e l'altra quadratica.

    • Legge lineare:

      v = v0 + at

      dove v è la velocità, v0 la velocità iniziale, a l'accelerazione e t il tempo.

    • Legge quadratica:

      s = s0 + v0t + 1/2 at2

      dove s è lo spazio percorso, s0 lo spazio iniziale, v0 la velocità iniziale, a l'accelerazione e t il tempo.

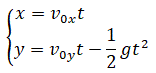
    Un particolare moto vario è quello di un oggetto lasciato cadere liberamente sotto l'influenza della forza di gravità detto moto di caduta libera. In generale, quando si dice che un oggetto è in caduta libera s'intende il moto di un corpo sotto l'influenza della sola gravità e quindi se lasciamo cadere o se lanciamo verso l'alto o verso il basso o in orizzontale una palla questa è in caduta libera non appena lascia la mano. Fu Galileo Galilei (1564-1642) ad eseguire i primi esperimenti sul moto di caduta libera di un oggetto dai quali dedusse che:

    tutti i corpi, indipendentemente dalla loro forma e massa, cadono con la stessa accelerazione g, detta accelerazione di gravità che ha un valore costante uguale a 9,81 m/s2.

    Come si può conciliare questa affermazione con la nostra esperienza quotidiana dove vediamo che alcuni oggetti pesanti cadono in meno tempo di altri più leggeri come se fossero sottoposti a una maggiore accelerazione di gravità? Per Galilei questa anomalia era dovuta alla presenza dell'aria che esercita un’azione frenante sui corpi, e a parità di massa sono più lenti quelli che offrono all'aria una maggiore superficie d'attrito. Solo con la possibilità di creare il vuoto si è dimostrato che Galilei aveva ragione. Infatti, il tubo di Newton permette di vedere che una pallina di metallo e una piuma cadono nello stesso tempo quando nel tubo viene fatto il vuoto togliendo l'aria con una pompa pneumatica.

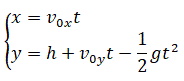
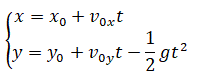
    Le equazioni che descrivono il moto di un corpo in caduta libera sono:

    dove x0 e y0 sono le posizioni orizzontale e verticale iniziali dell'oggetto in caduta libera, v0x e v0y sono le componenti orizzontale e verticale della velocità iniziale v0 e t il tempo di caduta. La prima equazione rappresenta lo spostamento orizzontale di un oggetto che si muove di un moto rettilineo uniforme perchè lungo lo spostamento orizzontale non agisce la forza di gravità e quindi non vi è accelerazione, la seconda equazione rappresenta lo spostamento verticale di uno oggetto che si muove di un moto uniformemente accelerato perchè lungo lo spostamento verticale agisce la forza di gravità che induce un'accelerazione costante. Nel primo caso l'oggetto percorre spazi proporzionali al tempo, nel secondo caso l'oggetto percorre spazi proporzionali al quadrato del tempo. I due moti sono simultanei ma indipendenti tra loro e il moto risultante in ciascun istante è dato dalla composizione dei due moti. Se consideriamo che il lancio dell'oggetto avvenga da terra verso l'alto e cioè nell'origine degli assi cartesiani si ha:

    x0 = 0     y0 = 0

    Ne segue che le leggi del moto diventano:

    Esprimendo t in funzione di x nella prima equazione e sostituendo t in funzione di x nella seconda equazione si ottiene:

    Che è l'equazione che descrive la posizione dell'oggetto in caduta libera in ogni istante. Ma questa è anche l'equazione di una parabola del tipo:

    y = bx + ax2

    dove

    che passa per l'origine degli assi (perchè manca il termine noto c) ed ha la concavità rivolta verso il basso (essendo negativo il coefficiente di x2) e rappresenta, quindi, la forma caratteristica della traiettoria di un oggetto in caduta libera. Pertanto L'equazione descrive una caduta con traiettoria parabolica.

    Nel grafico è stato messo in evidenza che la velocità del corpo in caduta libera è una grandezza vettoriale (come l'accelerazione) e come tale è stata scomposta nelle sue componenti orizzontale e verticale. Lungo la traiettoria la componente orizzontale rimane costante (il moto è rettilineo uniforme) mentre la componente verticale non è costante (il moto è rettilineo uniformemente accelerato). All'inizio la componente verticale è rivolta verso l'alto successivamente si decrementa fino ad annullarsi nel punto più alto della traiettoria dopo di che si incrementa, rivolgendosi verso il basso, fino a quando tocca il suolo e in quel momento il suo valore è uguale ma opposto a quello iniziale.

    Che la traiettoria di un corpo in caduta libera sia una parabola non dovrebbe meravigliarci perchè spesso osserviamo che un getto d'acqua, che esce da una fontana, cadendo al suolo segue una traiettoria che ha la forma di una parabola.

    E se tiriamo un calcio a un pallone, se colpiamo una pallina da tennis con la racchetta, se lanciamo una palla da basket nel canestro, se facciamo un salto in lungo o in alto, se lanciamo un peso la traiettoria del pallone, della pallina da tennis, della palla da basket, del centro di massa del corpo, del peso è sempre una parabola.

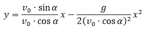
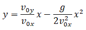
    Nel XVII secolo, con la diffusione crescente delle armi da fuoco, fu particolarmente studiato il moto di un proiettile (per moto di un proiettile si intende il moto di qualsiasi oggetto scagliato, battuto o lanciato in aria). Da questi studi fu possibile stabilire che a parità di velocità iniziale la gittata massima cioè la massima distanza orizzontale che può raggiungere un proiettile relativamente al punto di lancio, trascurando l'attrito dell'aria, si ottiene con un angolo di lancio di 45° e gli angoli di lancio complementari danno la stessa gittata.

    Infatti, se consideriamo che la componente orizzontale e verticale della velocità di lancio sono:

    v0x = v0 ⋅ cos α     v0y = v0 ⋅ sin α

    e sostituendo queste due relazioni nell'equazione del moto parabolico si ottiene:

    Questa equazione ci permette di stabilire qual è la gittata massima, a parità della velocità iniziale, in funzione dell'angolo di lancio. Infatti, quando il proiettile tocca il suolo si ha y=0 e quindi:

    Il primo valore x=0 rappresenta la posizione iniziale del lancio, mentre il secondo valore di x rappresenta la posizione finale del lancio e questo valore è massimo quando seno di alfa è uguale al coseno di alfa e ciò avviene quando alfa è uguale a 45°. Inoltre, essendo:

    Si comprende perchè angoli di lancio complementari danno la stessa gittata.

    Tenendo presente che la traiettoria parabolica è simmetrica rispetta a una retta parallela all'asse y e passante per il punto medio della gittata possiamo determinare la massima altezza raggiunta dal proiettile. Infatti, sostituendo x con il valore medio della gittata:

    Nell'equazione:

    Si ottiene:

    Come si vede l'altezza massima dipende dall'angolo di elevazione e quindi il massimo valore dell'altezza si ottiene quando sin α = 1 cioè quando α = 90° e il lancio è verticale.

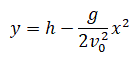
    Vediamo ora, come cambia la traiettoria parabolica di un proiettile se non viene lanciato dall'altezza del suolo.

    • Lancio da un'altezza h verso l'alto.

      Leggi del moto:

      Equazione della traiettoria:

    • Lancio da un'altezza h orizzontale.

      Leggi del moto:

      Equazione della traiettoria:

    • Lancio da un'altezza h verso il basso.

      Leggi del moto:

      Equazione della traiettoria:

    In molti sport saper sfruttare il moto parabolico è indispensabile per ottenere dei buoni risultati, ad esempio:

    • Nel salto in lungo per raggiungere il punto più lontano possibile, teoricamente, occorre una velocità di stacco elevata e un angolo di elevazione di 45°. Purtroppo la muscolatura della gamba e della caviglia non permettono di ottenere simultaneamente una elevata velocità e un angolo di elevazione prossimo a 45°. Bisogna, quindi ridurre o la velocità di stacco o l'angolo di elevazione o entrambi in base alle caratteristiche fisiche dell'atleta. Da alcuni studi sul salto in lungo è emerso che i due fattori più importanti che influiscono sul risultato sono la rincorsa e l'angolo di elevazione del baricentro dell'atleta. Solitamente gli atleti del salto in lungo preferiscono arrivare allo stacco con la massima velocità possibile riducendo l'angolo di elevazione. Non a caso famosi atleti come Jesse Owens e Carl Lewis hanno vinto medaglie d'oro simultaneamente nei 100 m e nel salto in lungo. Generalmente nei saltatori, l'angolo di elevazione è compreso tra i 19° e i 27°. Più si è veloci più si può ridurre l'angolo di elevazione.

    • Nel salto in alto viene adottata una strategia opposta rispetto a quella del salto in lungo. Per alzare la traiettoria della parabola l'atleta riduce la velocità orizzontale prima del balzo ma contemporaneamente incrementa l'angolo di elevazione dandosi con l'ultima battuta del piede la massima spinta verticale. Generalmente, il saltatore per mettersi nella condizione ottimale per effettuare la spinta finale, nella rincorsa esegue passi via via più alti, molleggiati e rapidi.

    • Nel basket il canestro è posto ad un'altezza di 3,05 m e quindi per lanciare la palla nel canestro l'apice della parabola deve essere molto maggiore dell'altezza del canestro. Però più si alza l'apice della parabola pù risulta difficoltoso il controllo del tiro, pertanto molti cestisti preferiscono mantenere più basso l'apice della parabola dando alla palla una minore velocità.

    • Nel calcio alcuni giocatori si sono specializzati nel calciare le punizioni al limite dell'area con la presenza della barriera formata da tre o quattro giocatori. L'abilità di questi giocatori è acquisita dall'esperienza e dalle numerose prove effettuate durante gli allenamenti. Questi giocatori sono in grado di valutare, in base alla posizione della punizione, sia la velocità da imprimere al pallone sia il giusto angolo di elevazione in modo che la traettoria parabolica del pallone superi la barriera e si abbassi in prossimità della porta alta 2,44 m.

  • Moto vario con velocità variabile in direzione.

    Un moto è vario anche quando un corpo si muove con velocità costante lungo una circonferenza o un arco di circonferenza come ad esempio il moto di una giostra al Luna Park. In questo tipo di moto detto moto circolare uniforme il corpo si muove su una circonferenza percorrendo archi di circonferenza in tempi uguali e la direzione del vettore velocità coincide con la direzione della tangente alla circonferenza ma tale direzione cambia in ogni istante ed è il cambiamento di direzione che determina l'accelerazione del corpo in movimento. Questa accelerazione è detta accelerazione centripeta perchè è sempre rivolta verso il centro della circonferenza.

    L'accelerazione centripeta è direttamente proporzionale al quadrato della velocità e inversamente proporzionale al raggio di curvatura.

    Questa formula ci fa capire perchè è prudente viaggiare con un veicolo a velocità non troppo elevata quando affrontiamo un curva con un piccolo raggio di curvatura. Se consideriamo costante il raggio di curvatura e se la velocità è il doppio di quella consigliata l'accelerazione centripeta diventa quattro volte maggiore e quindi aumenta notevolmente la forza di attrito fra gli pneumatici e il fondo stradale con il pericolo che la forza di attrito non sia sufficiente a mantenere l'auto in strada. In autostrada dove si può viaggiare a 130 km/h le eventuali curve hanno sempre un raggio di curvatura molto grande in modo da ridurre sensibilmente l'accelerazione centripeta.

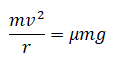
    Se c'è un'accelerazione, per il secondo principio della dinamica, c'è anche una forza che la produce e questa forza, detta forza centripeta, ha la stessa direzione e verso dell'accelerazione centripeta e viene espressa dalla formula:

    Conoscendo il raggio della curva e il coefficiente di attrito fra le gomme e il piano stradale possiamo determinare la massima velocità che un veicolo può sostenere in curva senza uscire di strada. In una curva per non uscire di strada la forza centripeta deve essere uguale alla forza di attrito.

    dove m è la massa del veicolo, v la velocità, μ il coefficiente di attrito tra pneumatici e manto stradale e g la forza di gravità. Semplificando e risolvendo rispetto alla velocità si ottiene la formula:

    Se μ=0,6 e il raggio della curva è 50 m la massima velocità deve essere circa 62 km/h.

    In alcuni sport, come il lancio del martello o il lancio del disco, saper sfruttare il moto circolare uniforme e il moto parabolico è indispensabile per ottenere dei buoni risultati.

    • Lancio del martello.

      Nel lancio del martello l'atleta cerca di lanciare il più lontano possibile un attrezzo costituito da una sfera metallica legata con un cavo d'acciaio con all'estremità una maniglia. Nella prima fase l'atleta dopo aver impugnato la maniglia dell'attrezzo esegue 3 o 4 rotazioni su se stesso facendo girare l'attrezzo lungo una traiettoria circolare tenendo le braccia ben tese in modo d'avere un raggio di rotazione il più ampio possibile. In questa fase l'atleta deve imprimere alla sfera metallica un moto circolare uniforme con la massima velocità possibile a cui corrisponde una massima accelerazione centripeta e quindi anche una massima forza centripeta che si manifesta attraverso la tensione del cavo.

      Nella seconda fase l'atleta lascia la maniglia dell'attrezzo con un angolo di uscita che si deve aggirare intorno ai 38°-42°. In questa fase venendo a mancare la forza centripeta la sfera vola lungo la tangente alla circonferenza e esegue la traiettoria parabolica di un proiettile lanciato ad una data altezza dal suolo. L'angolo di uscita della sfera è importante per ottenere la massima gittata.

  • Come è stato detto, quando viaggiamo in auto e affrontiamo una curva siamo soggetti a una forza centripeta diretta verso l'interno della curva, però noi nell'auto avvertiamo una forza diretta verso l'esterno della curva, e per tale motivo questa forza è detta centrifuga. Perchè c'è questa contraddizione? Nell'auto prima della curva il nostro corpo viaggia con moto rettilineo uniforme, mentre nella curva essendoci una variazione di direzione del modulo del vettore velocità il nostro corpo è soggetto ad una accelerazione dovuta alla forza centripeta e la forza centrifuga è una forza apparente che rappresenta l'inerzia del nostro corpo che si oppone alla variazione di moto. La due forze centripeta e centrifuga hanno lo stesso modulo e direzione ma versi opposti.

    Sulla forza centrifuga si basano molte applicazioni, ad esempio nelle lavatrici la forza centrifuga è utilizzata per separare, al termine del lavaggio la gran parte dell’acqua dai panni lavati oppure alle centrifughe apparecchi che separano sostanze diverse per massa o per densità tramite rotazione.


Una parabola che molti autisti dovrebbero conoscere ha per equazione:

dove:

  • sf è lo spazio di frenata di un'auto cioè lo spazio percorso dall'inizio della frenata all'arresto del veicolo;

  • vi è la velocità che ha il veicolo all'inizio della frenata espresso in m/s;

  • a è la decelerazione espressa in m/s2;

  • μ è il coefficiente di attrito tra pneumatici e manto stradale.

Come si vede dalla formula, a parità di decelerazione e di coefficiente di attrito, gli spazi di frenata aumentano con il quadrato della velocità. In particolare se la velocità raddoppia lo spazio di frenata cresce di 4 volte, se la velocità triplica lo spazio di frenata cresce di 9 volte, se la velocità quadruplica lo spazio di frenata cresce di 16 volte. Ad esempio, se si viaggia su un asfalto asciutto e ruvido a una velocità di 50 km/h lo spazio di frenata è uguale a 12,3 m mentre se si viaggia a 100 km/h lo spazio di frenata è uguale a 49,2 m. Inoltre, il coefficiente di attrito è influenzato dalle condizioni atmosferiche e generalmente il suo valore è:

  • 0,8 se l'asfalto è asciutto con fondo granuloso;

  • 0,5 se l'asfalto è asciutto con fondo liscio;

  • 0,4 se l'asfalto è bagnata;

  • 0,1 se la strada è ghiacciata.

Pertanto se si viaggia a 50 km/h su:

  • asfalto asciutto, lo spazio di frenata è uguale a = 12,3 metri;

  • asfalto bagnato, lo spazio di frenata è uguale a = 24,6 metri;

  • strada ghiacciata, lo spazio di frenata è uguale a = 98,4 metri.

Come si vede, a parità di velocità, quando si viaggia su un asfalto bagnato lo spazio di frenata diventa il doppio rispetto a quello su asfalto asciutto e questo spiega perchè in caso di pioggia il limite di velocità sull'autostrada scende da 130 km/h a 110 km/h. Inoltre, a parità di velocità, quando si viaggia su una strada ghiacciata lo spazio di frenata diventa otto volte più grande rispetto a quello su asfalto asciutto. Ma non è tutto; lo spazio di frenata si allunga notevolmente se: i freni sono consumati, i pneumatici sono lisci, il nostro stato psicofisico non è al meglio per cui il tempo di reazione per premere il pedale del freno non è immediato. Da questi dati emerge che quando si viaggia su strade e autostrade bisogna sempre mantenere una adeguata distanza di sicurezza rispetto all'auto che ci precede e questa distanza dipende dalla velocità, dalle condizioni atmosferiche, dalla manutenzione dell'auto e dal nostro stato psicofisico.

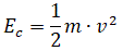
Un'altra parabola che molti autisti dovrebbero conoscere ha per equazione:

dove:

  • Ec è l'energia cinetica;

  • m è la massa espressa in kg;

  • v è la velocità espressa in m/s.

Come si vede dalla formula, a parità di massa l'energia cinetica aumenta con il quadrato della velocità. In altre parole, quando un corpo di massa m viene messo in movimento gli forniamo una certa quantità di energia cinetica che dipende dal quadrato della velocità. Questo significa che quando viaggiamo in auto o in treno o in corriera ad una data velocità il nostro corpo accumula una certa quantità di energia cinetica che si manifesta quando viene effettuata un'improvvisa frenata. In questo caso il nostro corpo viene proiettato in avanti con la stessa velocità con cui si muoveva l'auto o il treno o la corriera. E' stato calcolato che se viaggiamo in auto ad una velocità di 50 km/h l'energia cinetica accumulata dal nostro corpo è uguale a quella che acquisteremmo cadendo da un'altezza di circa 10 m. Pertanto se in questa situazione effettuiamo un'improvvisa frenata perchè un'altra auto non ha rispettato lo stop è come se cadessimo da un'altezza di 10 m. Ecco perchè è importante allacciare la cintura di sicurezza anche se viaggiamo in città con una bassa velocità. Durante la frenata la cintura di sicurezza con la sua elasticità assorbe una considerevole quantità delle nostra energia cinetica impedendo danni fisici al nostro corpo.

  • Effetto Joule

    Quando la corrente elettrica attraversa un conduttore questo si riscalda perchè il flusso degli elettroni di conduzione urtando contro gli ioni del reticolo cristallino del conduttore cedono a questi una parte di energia cinetica provocando un conseguente aumento di temperatura. Questa trasformazione di energia elettrica in calore viene chiamata effetto Joule dal nome del fisico inglese James Prescott Joule (1818-1889) che per primo studiò il fenomeno e definí la relazione che lega la potenza elettrica dissipata con l'intensità di corrente.

    Legge di Joule: La potenza elettrica dissipata in calore è direttamente proporzionale al quadrato dell'intensità di corrente e la resistenza del conduttore è la costante di proporzionalità:

    P = Ri2

    Dove P è la potenza elettrica dissipata in energia termica, R è la resistenza del conduttore e i è l'intensità di corrente. Dalla legge di Joule si deduce che se si raddoppia il valore dell'intensità della corrente nel circuito la potenza elettrica dissipata in energia termica diventa quattro volte più grande e ciò comporta anche un innalzamento di temperatura quattro volte più grande. E' stato valutato che nel trasporto dell'energia elettrica dalla centrale di produzione alle abitazioni, per effetto Joule, viene dissipata il 10% dell'energia. La perdita di energia per effetto Joule è sicuramente un evento indesiderato ma nonostante ciò viene utilizzata in numerosi dispositivi elettrici.

    • Elettrodomestici

      L'asciugacapelli, la stufa elettrica, il ferro da stiro, il forno elettrico, lo scaldabagno elettrico, la lavatrice, il tostapane, funzionano grazie all'effetto Joule. Il circuito elettrico di questi elettrodomestici è semplice:

      C'è una spina da inserire nella rete elettrica domestica, un interruttore e una resistenza. L'elemento riscaldante è la resistenza che generalmente è un filo metallico con un alto valore di resistenza avvolto in una serie di spire per occupare minor spazio. Al passaggio della corrente elettrica la resistenza dissipa energia sotto forma di calore e quindi converte una parte dell'energia elettrica in energia termica che serve per scaldare o il ferro da stiro o l'acqua o l'aria o le fette di pane.

    • Fusibile elettrico

      Un fusibile elettrico è un dispositivo di sicurezza che serve a proteggere un circuito da un'eventuale aumento di tensione elettrica o da un cortocircuito.

      Questo dispositivo contiene un sottile filo conduttore che si fonde se viene superata una data soglia di tensione elettrica e ciò determina l'interruzione del passaggio di corrente.

    • Lampada a incandescenza

      Nella lampada a incandescenza il passaggio della corrente elettrica fa surriscaldare il filamento di tungsteno che quando raggiunge la temperatura di circa 2700 k emette luce per incandescenza.



      .



© giuseppe sarnataro