Modello lineare

Quando prendiamo un taxi la somma che paghiamo alla fine della corsa comprende un costo fisso e un costo variabile che dipende dai chilometri percorsi. Ad esempio, se prendiamo un taxi in un giorno feriale a Milano il tariffario prevede un costo fisso di € 3,50 e un costo variabile di € 1,14 al km. Il tassametro del taxi è quindi programmato in modo da effettuare uno scatto di partenza di € 3,50 e uno scatto di € 1,14 per ogni km.

In pratica il tassometro funziona con la seguente tabella:

Come si vede dalla tabella le due grandezze km percorsi e costo finale formano due progressioni aritmetiche: ogni termine si ottiene dal precedente sommando sempre lo stesso numero o meglio, la differenza tra un termine e il precedente è costante. Nella progressione aritmetica della grandezza km percorsi ogni termine si ottiene dal precedente sommando sempre 1 e quindi la differenza tra un termine e il precedente è la costante uguale a 1. Nella progressione aritmetica della grandezza costo finale ogni termine si ottiene dal precedente sommando sempre 1,14 e quindi la differenza tra un termine e il precedente è la costante uguale a 1,14. Ora, tra le due grandezze esiste una relazione che ci permette di passare dalla progressione aritmetica della grandezza km percorsi alla progressione aritmetica della grandezza costo finale. Come possiamo determinare questa relazione? Sempre dalla tabella possiamo osservare che è costante anche il rapporto:

dove Δcosto finale è la differenza tra due termini (successivo e precedente) della progressione aritmetica costo finale e Δkm percorsi è la differenza tra due termini (successivo e precedente) della progressione aritmetica km percorsi. Possiamo anche scrivere:

Δcosto finale = 1,14 ⋅ Δkm percorsi

Se riportiamo i valori della tabella in un piano cartesiano otteniamo il seguente grafico:

Come si vede dal grafico i punti

(0; 3,50), (1; 4,64), (2; 5,78), (3; 6,92), (4; 8,06), (5; 9,20)

sono allineati e appartengono alla semiretta che ha origine nel punto (0; 3,50). Per questo motivo la relazione Δcosto finale = 1,14 ⋅ Δkm percorsi viene detta lineare.

In generale:

Se tra due grandezze x e y intercorre una relazione tale che è costante il rapporto tra l'incremento di y e l'incremento di x allora si dice che la relazione tra x e y è lineare.

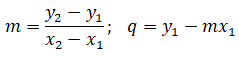
E la relazione lineare tra le due grandezze x e y può essere scritta in uno dei seguenti modi:

dove

Inoltre, tutte le relazioni lineari sono rappresentate, graficamente, da una retta più o meno inclinata e l'inclinazione dipende dal valore di m che viene detto coefficiente angolare. Maggiore è il valore di m, maggiore è la pendenza della retta e maggiore è l'angolo che essa forma con l'asse x. Se il coefficiente angolare è positivo la retta è crescente e ha una pendenza positiva mentre, se il coefficiente angolare è negativo la retta è decrescente e ha una pendenza negativa. Il termine q è detto termine noto o intercetta e rappresenta il punto di intersezione della retta con l'asse y.

Spesso nella nostra vita ci imbattiamo in relazioni di tipo lineare, ad esempio:

  • Se prendiamo a noleggio un'auto il contratto prevede un costo fisso più un costo variabile che dipende dai chilometri percorsi.

  • La bolletta del telefono fisso spesso prevede una quota fissa e una quota variabile che dipende dai minuti di conversazione.

  • Anche la bolletta dell'elettricità o del gas o dell'acqua prevede una quota fissa e una quota variabile che dipende dal consumo.

  • Gli agenti di commercio hanno un contratto a provvigione: ricevono un compenso composto da una parte fissa mensile e dalla provvigione il cui importo dipende dal numero delle vendite realizzate in un mese.

  • L'assistenza a domicilio per la riparazione della lavatrice prevede una quota fissa per l'uscita e una quota variabile per ogni ora di lavoro.

In fisica:

  • La legge oraria del moto rettilineo uniforme, cioè il moto di un corpo che segue una traettoria retta percorrendo lunghezze uguali in intervalli di tempo uguali e quindi a velocità costante è una relazione lineare:

    s = s0 + v⋅t

    dove s0 è la distanza iniziale da un fissato punto di partenza, v è la velocità costante, t è l'intervallo di tempo e s è lo spazio percorso. Se riportiamo i valori delle due variabili spazio e tempo in un piano cartesiano il grafico è una semiretta che ha origine nel punto (0, s0) e la pendenza della semiretta coincide con la velocità costante del moto. Cosí, utilizzando questa legge oraria del moto rettilineo uniforme, se per esempio in treno viaggiamo alla velocità costante di 100 km/h per 36 minuti possiamo facilmente calcolare che abbiamo percorso 60 km rispetto al punto in cui abbiamo iniziato a contare il tempo.

  • In Italia e in molti paesi per misurare la temperatura si utilizza la scala termometrica centigrada espressa in gradi Celsius in cui al punto di congelamento dell'acqua corrisponde la temperatura di 0°C e al punto di ebollizione corrisponde la temperatura di 100°C. Nei paesi anglosassoni si utilizza una diversa scala termometrica, la scala Fahrenheit in cui al punto di congelamento dell'acqua corrisponde la temperatura di 32°F e al punto di ebollizione corrisponde la temperatura di 212°C.

    Essendo le due scale entrambe in progressione aritmetica è possibile passare dalla scala Celsius a quella Fahrenheit e viceversa applicando le relazioni lineari:

    Se siete in America e pensando di avere la febbre vi misurate la temperatura corporea con un termometro in scala Fahrenheit non allarmatevi se leggete sul termometro 98,6 °F perchè avete solo 37 °C e quindi non avete la febbre.

  • Per la legge di Stevin, la pressione esercitata da un liquido aumenta con l'aumentare della profondità.

    E la pressione totale che agisce su un corpo immerso ad una profondità h è data dalla somma della pressione esterna pa dovuta alla colonna d'aria che sta sopra il liquido con la pressione g ⋅ d⋅ h dovuta al peso del liquido (g è la forza di gravità, d è la densità del liquido, h è la profondità del liquido).

    p = pa + g⋅d⋅h

    La legge di Stevin è una relazione lineare essendo pa, g, d valori costanti per un dato luogo e per un dato liquido. Ad esempio, durante un'immersione subacquea via via che si scende sott'acqua la pressione aumenta all'incirca di 1 atmosfera ogni 10 metri, e a 20 metri di profondità la pressione è il triplo di quella atmosferica. Per esperienza un subacqueo sa che con l'aumento della pressione la maschera aderisce di più al viso e per evitare il dolore alle orecchie dovuto all'aumento della pressione sui timpani deve equilibrare la pressione sui timpani soffiando attraverso le vie nasali tappandosi contemporaneamente il naso. Dalla legge di Stevin ne segue che le forze che si esercitano perpendicolarmente sulle pareti di una diga aumentano verso il basso e per questo motivo quando si costruisce una diga bisogna far in modo che lo spessore delle pareti aumenti con la profondità.

    Sempre dalla legge di Stevin ne deriva che la pressione esercitata dal liquido sulle pareti di un recipiente dipende solo dal livello del liquido e non dalla quantità del liquido. A dimostrazione di ciò si racconta che Pascal riuscí a spaccare una botte piena d'acqua aggiungendo solo un tubo lungo e sottile riempito d'acqua.

    Un'importante conseguenza della legge di Stevin è il principio dei vasi comunicanti: se si immette del liquido in recipienti di forme e dimensioni diverse che comunicano tra loro il liquido si dispone alla stessa altezza in tutti i recipienti.

    e sul principio dei vasi comunicanti si base tutto il sistema della distribuzione dell'acqua potabile nelle abitazioni perchè l'acqua tende a portarsi alla stessa quota del serbatoio che naturalmente viene posto ben in alto.


Un caso particolare di relazione lineare si verifica quando il termine noto è nullo. In questo caso la relazione diventa:

y = mx

e si dice che le due grandezze sono in relazione di proporzionalità diretta e il grafico della relazione è una retta che passa per l'origine. Due grandezze direttamente proporzionali hanno una particolarità unica: aumentano o diminuiscono allo stesso modo e quindi il loro rapporto si mantiene costante.

Semplici esempi di proporzionalità diretta nella nostra vita quotidiana sono:

  • Il peso di una merce e il costo complessivo.

  • Il numero dei pezzi di un oggetto e il costo complessivo.

  • Il numero delle persone e le dosi di una ricetta.

  • Il numero degli spettatori paganti e l'incasso totale di un teatro.

  • Il volume di un liquido e il suo peso.

In fisica ci sono molti esempi di grandezze direttamente proporzionali, ad esempio:

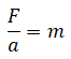
  • Il secondo principio della dinamica.

    Il secondo principio della dinamica o seconda legge di Newton afferma che la risultante delle forze applicate a un corpo è uguale al prodotto fra la massa del corpo e l'accelerazione da esso acquistata.

    ∑F = m ⋅ a

    dove F è la forza in newton che si indica con il simbolo N (1 N = 1 kg∙m/s2), m è la massa in kg e a è l'accellerazione in m/s2. Il secondo principio è una delle leggi fondamentali della fisica che possiamo facilmente verificare con una semplice esperienza quotidiana. Quando spingiamo il carrello della spesa esercitiamo una forza che cambia la velocità del carrello cioè, lo fa accelerare. E più forte spingiamo il carrello tanto più la sua accellerazione aumenta. Se trascuriamo l'attrito abbiamo la consapevolezza che l'acelerazione del carrello è direttamente proporzionale alla forza risultante che agisce su di esso. Se poi poniamo nel carrello la nostra spesa man mano che aumenta la massa complessiva (carrello + spesa), dobbiamo applicare una forza sempre maggiore se vogliamo muoverlo. Ci rendiamo conto che più grande è la massa, più il corpo considerato oppone resistenza a cambiare il suo stato di velocità. Dai dati sperimentali risulta che, per un dato corpo, il rapporto fra la forza applicata e l'accelerazione che ne deriva ha un valore costante e tale valore è uguale alla quantità di materia del corpo cioè alla massa del corpo. La massa m esprime dunque la costante di proporzionalità fra la forza agente su un corpo e l'accelerazione prodotta.

    In altre parole, la massa di un corpo rappresenta la resistenza di quel corpo a opporsi alla variazione del suo stato di moto (o di quiete) e tale resistenza è chiamata inerzia e il rapporto fra forza e accelerazione è chiamato massa ineziale. La forza e l'accelerazione sono due grandezze vettoriali e quindi bisogna indicare la loro intensità, direzione e verso mentre, la massa è una grandezza scalare sempre positiva. E questo viene indicato con la scrittura:

    dove il vettore accelerazione ha sempre la stessa direzione e verso del vettore forza. Quando si applica il secondo principio della dinamica è importante considerare tutte le forze esterne che agiscono contemporaneamente su un dato corpo. Generalmente, possiamo considerare il corpo come se fosse un punto materiale e applicare a tale punto tutte le forze che agiscono sul corpo. Nel nostro esempio del carrello della spesa agiscono quattro forze: La forza peso Fp che agisce verso il basso esercitata dal peso del carrello, la forza normale Fn che agisce verso l'alto esercitata dal pavimento sul carrello, la forza applicata Fa che agisce orizzontalmente verso destra e la forza di attrito Fr che agisce orizzontalmente verso sinistra che si oppone al moto.

    Ora nel nostro esempio la forza peso e la forza normale sono uguali ma opposte e quindi si annullano e la forza risultante è data dalla somma algebrica della forza applicata e della forza di attrito.

    ∑F = Fa - Fr = m ⋅ a

    Se inizialmente il carrello è fermo per muoverlo la forza applicata deve essere maggiore della forza di attrito. Se il carrello è fermo o si muove con moto rettilineo uniforme e cioè con velocità che si mantiene costante allora l'accelerazione è nulla ed è nulla anche la risultante delle forze che agiscono sul carrello. In altre parole, un corpo non altera il suo stato di moto o di quiete finchè a esso non viene applicata una forza. Questo fatto è noto come principio d'inerzia o come prima legge di Newton denominata primo principio della dinamica:

    Un corpo non soggetto a forze o soggetto a forze la cui risultante è nulla, è in quiete o si muove di moto uniforme.

    Quando un corpo cade in prossimità della superficie terrestre e in assenza di attrito si muove con un'accelerazione costante detta accelerazione di gravità che si indica con il simbolo g il cui valore medio è 9,81 m/s2. In questo caso l'unica forza che agisce è la forza peso P e per il secondo principio della dinamica si ha:

    P = m ⋅ g

    In moltissime situazioni bisogna tener presente il secondo principio della dinamica per evitare spiacevoli danni al nostro fisico.

    • L'airbag.

      L'airbag è un dispositivo di sicurezza passiva, montato all'interno del volante e sul cruscotto dalla parte del passeggero, che ha la funzione di impedire, in caso di incidente stradale, che il conducente e il passeggero dell'auto abbiano gravi danni fisici.

      Cosa succede in assenza dell'airbag in un incidente stradale? Durante una brusca frenata la testa (del conducente o del passeggero), non essendo vincolata dalla cintura di sicurezza, viene proiettata in avanti con la stessa velocità con cui viaggiava l'auto prima della frenata. Nel momento dell'impatto fra la testa e il parabrezza o parti rigide dell'auto la velocità della testa si annulla e ciò avviene in un tempo brevissimo. Questo significa che la testa subisce una grande decelerazione che genera una elevata e pericolosa forza d'urto. Ad esempio, se l'urto avviene in 0,1 secondi a una velocità di 65 km/h, e la testa pesa 6,0 kg calcoliamo la decelerazione e la forza d'urto che subisce la testa.

      Trasformiamo la velocità da km/h in m/s:

      Calcoliamo la decelerazione.

      Calcoliamo la forza d'urto tra la testa e il parabrezza.

      F = m ⋅ a = 6,0 ⋅ 180 = 1080 N

      Come si vede il valore della forza d'urto è molto grande e può provocare un danno irreparabile. Cosa succede in presenza dell'airbag in un incidente stradale? L'airbag è essenzialmente un pallone sgonfio di nylon che, quando avviene l'incidente, si gonfia repentivamente in 30/50 millesimi di secondo a una velocità di circa 320 km/h offrendo cosí alla testa uno spazio di arresto morbito. L'airbag essendo deformabile allunga notevolmente l'intervallo di tempo impiegato dalla testa per arrestarsi. Si ha cosí una decelerazione molto piccola e di conseguenza anche la forza d'urto diventa piccola e non pericolosa. L'invenzione dell'airbag ha ridotto notevolmente la mortalità dovuta agli incidenti stradali.

    • Nel salto in alto con l'asta è necessario utilizzare un materasso per attutire la caduta.

      Nel salto in alto con l'asta l'atleta, superata l'asticella, cade in caduta libera da un'altezza di circa 6 m e quando tocca il suolo avrà una velocità di 39 km/h.

      E nel momento dell'impatto la sua velocità passa da 39 km/h a 0 km/h in pochissimo tempo facendo aumentare notevolmente la decelerazione e l'intensità della forza d'urto che può provocare seri danni fisici all'atleta.

      Per evitare tutto ciò viene predisposto un atterraggio morbito mediante appositi materassi. L'imbottitura deformabile dei materassi ha la funzione di aumentare l'intervallo di tempo di decelerazione e quindi ridurre notevolmente la forza dell'impatto.

  • La legge di Hooke.

    La legge di Hooke (che prende il nome da Robert Hooke 1635-1703) afferma che per piccole deformazioni, l'allungamento o la contrazione di una molla è direttamente proporzionale alla forza a essa applicata.

    Fp = k ⋅ Δl

    dove Fp è la forza peso applicata, k è la costante di proporzionalità e prende anche il nome di costante elastica che dipende solo dal materiale usato per realizzare la molla, Δl è l'allungamento o la contrazione rispetto alla posizione di riposo. Questa legge può essere facilmente verificata con un semplice esperimento:

    Se prendiamo una molla e la disponiamo verticalmente con l'estremità superiore fissata e appendiamo all'altra estremità un peso p la molla subirà un allungamento l, se appendiamo un peso doppio anche l'allungamento sarà doppio, se triplichiamo il peso si triplica anche l'allungamento.

    Se nel piano cartesiano poniamo i valori degli allungamenti sull'asse x e i valori della forza peso sull'asse y otteniamo una semiretta con l'origine nel punto (0, 0) e un'inclinazione uguale al valore di k. Quando applichiamo un peso a un'estremità di una molla la molla si allunga, se togliamo il peso la molla si contrae e ritorna nella sua posizione iniziale ciò significa che la molla ha un comportamento elastico e quindi una forza elastica che si oppone alla forza peso durante la fase di allungamento. Nel momento in cui la forza peso viene bilanciata dalla forza elastica la molla cessa di allungarsi e si ha una situazione di equilibrio in cui:

    Fp + Fe = 0

    dove Fe è la forza elastica detta anche forza di richiamo. Da questa uguaglianza ne segue:

    Fe = -Fp = -k ⋅ Δl

    Il segno negativo vuol dire che la forza esercitata dalla molla è una forza di richiamo, ovvero una forza che si oppone alla sollecitazione: se allungata tenta di accorciarsi, e viceversa. Ora, se allunghiamo la molla oltre un dato limite la forza elastica non è più in grado di riportare la molla nella sua posizione iniziale e quando cessa l'azione della forza peso la molla rimane deformata in modo permanente e non vale più la legge di Hooke. Ogni corpo, e quindi anche una molla, sollecitati da una forza hanno un comportamento elastico, in un dato intervallo, quando viene superato il limite dell'intervallo detto punto critico o limite di elasticità il corpo si deforma e perde in modo permanente la sua elasticità. Inoltre, se la forza applicata è molto elevata si può verificare la rottura del corpo. La legge di Hooke ha molte applicazioni pratiche ad esempio:

    • Dinamometro.

      Il dinamometro è un semplice strumento per misure il peso di un oggetto. E' costituito da una molla inserita in una struttura rettangolare come si vede in figura:

      La molla ha un indice che si muove con gli allungamenti della molla che sono tarati su una scala dei pesi. Ad esempio se si vuole conoscere il peso di una scatola, si appende la scatola al gancio del dinamometro e si guarda sulla scala la posizione dell'indice che indica il peso della scatola.

    • Bilancia con un solo piatto.

      La bilancia da cucina ha un solo piatto come si vede in figura:

      Un oggetto posto sul piatto della bilancia esercita sul piatto una forza pari al suo peso che comprime una molla contenuta nella bilancia. La molla è collegata all'ago del quadrante e la molla compressa esercita una forza elastica, pari al peso dell'oggetto, che muove l'ago il quale indica il valore del peso dell'oggetto posto sul piatto della bilancia.

    • Ammortizzatori a molle.

      Gli ammortizzatori a molle come si vede in figura:

      sono utilizzati in tutti i veicoli su strada e su binario per assorbire e attenuare le oscillazioni provocate dal terreno o dalle asperità delle rotaie in modo da fornire una maggiore comodità per i passeggeri.

    • Estensore elastico a molle.

      Molti attrezzi sportivi sono costituiti da molle come l'estensore in figura:

      Questi attrezzi servono a rafforzare i muscoli delle braccia o delle gambe opponendo la forza muscolare che tende ad allungare le molle alla forza di richiamo che tende a riportare le molle nella posizione iniziale.

    • Orologi meccanici con carica manuale.

      Gli orologi meccanici funzionano grazie ad una molle a spirale che viene caricata, cioè viene orrotolata manualmente, accumulando la forza elastica. Una volta caricata la molla inizia a srotolarsi, gradatamente in maniera costante nel tempo, liberando la forza accumulata che a sua volta aziona i vari ingranaggi che muovono le lancette dei secondi, dei minuti e delle ore.

      Una molla completamente carica, riesce in media a mantenere l'ora esatta per un minimo di 40 ore. Se apriamo un orologio meccanico non vediamo la molla di carico perchè per proteggerla dalla polvere è racchiusa in un cilindretto chiamato bariletto

  • La massa come forma di energia ovvero E = m⋅c2.

    Un'importante conseguenza della teoria della relatività ristretta, pubblicata nel 1905 da Albert Einstein (1879-1955), è la relazione tra massa ed energia:

    In tutti i fenomeni in cui avviene una variazione di massa c'è una corrispondente variazione di energia e viceversa.

    Questa relazione è sintetizzata con la famosa formula chiamata legge dell'equivalenza massa-energia:

    E = m⋅c2

    dove m è la massa e c è la velocità della luce nel vuoto che è pari a circa 300.000 km/s. Pertanto l'energia è direttamente proporzionale alla massa di un corpo. Essendo la velocità della luce molto elevata, il prodotto della massa di un corpo per il quadrato della velocità della luce, rappresenta una grande quantità di energia. Dalla relatività ristretta si scopre che se un corpo di massa m0 è in quiete possiede una sua energia a riposo E0. Ad esempio, un panino che pesa 120 g ha un'energia a riposo uguale a:

    Se questa energia a riposo del panino potesse essere totalmente trasformata in una forma di energia utilizzabile, potrebbe tenere accesa una lampada da 100 W per 10 milioni di anni. Gli elementi radioattivi (uranio, polonio, radio) hanno un nucleo instabile e questa instabilità induce una spontanea trasformazione detta decadimento nucleare dove il nucleo decade e da luogo ad altri tipi di nuclei più stabili con una piccola perdita di massa che si trasforma in energia secondo la relazione E = m⋅c2. Questa energia è stata utilizzata per realizzare la bomba atomica o per produrre energia elettrica nelle centrali nucleari o nella medicina con la radioterapia per curare tumori. Questa formula ci spiega anche perchè il Sole produce una grande quantità di energia tale da sostenere la vita sulla Terra. Il Sole è un'enorme sfera di gas composta da idrogeno (75%), elio (24%) e altri elementi più pesanti (1%).

    Nel Sole a causa della grande forza di gravità e delle altissime temperature (15,6 milioni di gradi) quattro nuclei di idrogeno, vincendo la forza di repulsione elettrostatica delle cariche positive dei protoni, si fondono formando un nucleo di elio:

    Il nucleo di elio è più leggero della massa totale dei 4 nuclei di idrogeno di circa lo 0,8% ed è questa variazione di massa che si trasforma in energia secondo la relazione di Einstein. Se consideriamo che la vita sulla Terra non esisterebbe senza l'energia del Sole possiamo dire che la vita di tutti gli esseri viventi dipende da questa formula: E = m⋅c2. Inoltre, l'energia prodotta mediante il processo di fusione è virtualmente infinita e pulita perchè pur essendo una reazione nucleare non produce scorie radiottive ed è senza emissioni di anidride carbonica. Se fossimo in grado di riprodurrre la fusione, anche in scala minore, potremmo produrre un'immensa quantità di energia sotto forma di calore risolvendo cosí sia la crisi energetica sia quella climatica eliminando i combustibili fossili.

  • L'eco sonoro.

    Il fenomeno dell'eco si verifica quando le onde sonore emesse da una sorgente vengono riflesse da un ostacolo e ritornano indietro giungendo, dopo un certo intervallo di tempo, di nuovo al punto dal quale il suono era stato emesso.

    In questo caso, se siamo vicini alla sorgente sonora, il nostro orecchio sentirà distinti due suoni (il suono iniziale e quello riflesso) solo se sono separati da almeno un decimo di secondo. Possiamo determinare la minima distanza tra la sorgente sonora e l'ostacolo affinche sia udibile l'eco sapendo che la velocità del suono nell'aria è di 340 m/s, che il suono percorre due volte la distanza d tra la sorgente e l'ostacolo, che il tempo sia almeno un decimo di secondo e che la distanza d è direttamente proporzionale al tempo:

    Dunque l'ostacolo deve trovarsi ad almeno 17 m di distanza dalla sorgente che emette il suono per poter percepire l'eco. Se la distanza d è minore di 17 m il nostro orecchio non percepisce un'eco, ma un rimbombo cioè una sovrapposizione indistinta di suoni.

    I pipistrelli sono animali ecolocalizzatori cioè animali che emettono onde sonore nell'ambiente che rimbalzando su un oggetto, provocano un'onda riflessa che fornisce informazioni sulla distanza e le dimensioni di quell'oggetto. I pipistrelli fuoriescono dai loro rifugi al tramonto e grazie all'eco sono in grado di catturare gli insetti notturni anche nel buio più totale della notte.

    Tale capacità deriva dal fatto che questi mammiferi volanti emettono continuamente ultrasuoni con fequenze che vanno da 10000 a 200000 Hz che vengono riflessi anche da insetti appena più piccoli di un centimetro. Con le loro grandi orecchie captano l'eco e in base al ritardo con cui percepiscono il suono riflesso sono in grado di valutare la localizzazione dell'insetto. Il pipistrello utilizza l'ecolocalizzazione anche per orientarsi durante il volo e per evitare di sbattere contro gli eventuali ostacoli. In altre parole, l'eco sonoro viene utilizzato dai pipistrelli per "vedere" oggetti che sono invisibili ai loro occhi. Questa tecnica di vedere mediante l'eco oggetti altrimenti invisibili viene utilizzata anche dall'uomo:

    • Sonar.

      SONAR è l'acronimo inglese di (SOund Navigation And Ranging) che significa navigazione sonora e determinazione della distanza ed è uno strumento per vedere sott'acqua. Viene utilizzato sia dai sottomarini per orientarsi durante la navigazione sott'acqua sia dalle navi per monitorare la profondità del mare durante la navigazione. Il sonar è utilizzato anche per scandagliare i fondali marini. Infatti, inviando ultrasuoni verso il fondale e captando sia le onde riflesse che i tempi diversi nella riflessione di ogni onda emessa è possibile scoprire anche senza vedere il profilo del fondale.

      Il suono sott'acqua viaggia alla velocità di 1500 m/s perchè l'acqua è meno comprimibile dell'aria e quindi la vibrazione viene trasmessa più rapidamente. Questo permette all'onda sonora di percorrere distanze più lunghe prima che diventi troppo debole per rivelare l'eco. Il sonar utilizza frequenze comprese tra 50 kHz e 200 kHz. Più bassa è la frequenza, più profonda è la misurazione. Il sonar viene utilizzato anche per il rilevamento di pesci o di relitti.

    • Ecografia.

      L'ecografia è un'indagine diagnostica veloce e non invasiva che utilizza gli ultrasuoni e si basa sulla proprietà dei tessuti di riflettere gli ultrasuoni che producono un eco di ritorno. Poichè l'intensità di tale eco varia a seconda dell'organo, tessuto o vaso sanguigno indagato, l'elaborazione del segnale permette di ottenere un’immagine su uno schermo. Ad esempio, l'ecografia è molto utilizzata durante la gravidanza per visualizzare su uno schermo le parti del corpo del feto dentro il grembo materno.

      L'ecografia viene effettuata con uno strumento chiamato ecografo.

    • robot autonomi.

      Una macchina a guida automatica è un robot in grado di riconoscere l'ambiente circostante e di muoversi dentro in sicurezza senza la supervisione umana.

      Tutto ciò è possibile utilizzando particolari software di intelligenza artificiale, telecamere, sensori e radar come il LiDAR (Light Detection and Ranging). Il LiDAR è un dispositivo di scansione dell'ambiente e funzione come l'ecolocalizzatore dei pipistrelli in questo modo fornisce al software predisposto per la visione artificiale le informazioni sulla distanza e sulle dimensioni di eventuali ostacoli.

  • La legge di Ohm

    La corrente elettrica è un flusso ordinato di cariche elettriche (spesso la carica elettrica è trasportata da elettroni) che scorrono lungo un corpo.

    La legge di Ohm (il fisico tedesco Georg Simon Ohm 1787-1854 la scoprí nel 1827 compiendo diversi esperimenti) afferma che fissata una certa temperatura, l'intensità di corrente che attraversa un corpo è direttamente proporzionale alla differenza di potenziale (o tensione) applicata ai suoi estremi.

    ΔV = Ri

    Dove ΔV è la differenza di potenziale (misurata in volt), i è l'intensità di corrente (misurata in ampere) e R è la costante di proporzionalità (misurata in ohm) detta resistenza elettrica perchè rappresenta la resistenza che oppone il corpo al flusso ordinato degli elettroni. La resistenza elettrica varia da materiale a materiale e dipende dalla sezione e dalla lunghezza del corpo, inoltre non tutti i materiali sono in grado di condurre elettricità. I materiali che presentano una resistenza elettrica molto bassa e quindi oppongono un piccolo ostacolo al flusso degli elettroni sono detti conduttori. Alcuni metalli come il rame, l'argento e l'oro sono ottimi conduttori. Questi metalli hanno un'elevata conducibilità elettrica perchè hanno una particolare struttura cristallina dove gli atomi sono disposti in lunghe file ordinate e gli elettroni più esterni di ciascun atomo non sono vincolati ma condivisi con tutti gli altri atomi. Pertanto, questi metalli formano una struttura composta da ioni positivi fissi e da una nube di elettroni liberi, detti elettroni di conduzione. Quando alle estremità di un filo metallico viene applicata una pila o una batteria cioè, un generatore di differenza di potenziale gli elettroni di conduzione si muovono liberamente da un estremo all'altro del conduttore generando cosí un flusso ordinato di cariche elettriche negative.

    I materiali che presentano resistenza elettrica elevata sono detti isolanti e molti materiali come il vetro, la porcellana, la paraffina, il polietilene e molte altre materie plastiche non sono in grado di condurre elettricità. In questi materiali gli elettroni esterni sono utilizzati per formare il legame chimico covalente che tiene uniti gli atomi. Pertanto sono strettamente vincolati agli atomi e quindi non sono liberi di muoversi attraverso il corpo e il passaggio di elettricità non avviene. I materiali isolanti sono molto utili per esempio una prolunga elettrica è costituita da due fili di rame ognuno avvolto da un isolante per evitare il contatto fra i fili e entrambi sono avvolti da un ulteriore materiale isolante per evitare che chi la usa possa accidentalmente premdere la scossa.

    I materiali che hanno una resistenza elettrica intermedia tra quella dei conduttori e degli isolanti come per esempio il silicio, il germanio e l'antimonio sono detti semiconduttori. I semiconduttori sono particolarmente utili perchè la loro conducibilità può essere modificata introducendo nel loro reticolo cristallino degli atomi di un'altra specie mediante un processo chiamato drogaggio del semiconduttore. In questo modo si ottengono nuovi materiali con i quali si possono realizzare dei dispositivi elettronici che permettono di controllare e regolare la corrente, se inseriti in un circuito. I semiconduttori sono molto diffusi nelle nostre case basti pensare ai transistor e ai circuiti integrati presenti nel computer, nel televisore, nella radio e in gran parte degli elettrodomestici.

    Per circuito elettrico si intende un percorso chiuso in cui circola corrente elettrica, costituito da un generatore di differenza di potenziale per esempio una pila, da una resistenza per esempio una lampadina, da un interruttore per esempio un pulsante che apre o chiude il circuito, e da un filo conduttore di rame che collega tra loro tutti questi elementi.

    Ogni volta che in casa accendiamo il televisore o la radio o una lampada in pratica utilizziamo un circuito elettrico. Naturalmente, in un circuito elettrico possiamo avere più componenti elettrici ad esempio più lampadine (ovvero più resistenze) che possono essere collegate fra loro in serie cioè consecutivamente una all'altra oppure in parallelo cioè su file parallele e ogni fila rappresenta una via separata per il flusso degli elettroni.

    Questi due tipi di collegamenti hanno caratteristiche molto diverse che possiamo facilmente notare:

    • Nel collegamento in parallelo le lampadine sono più luminose di quelle nel collegamento in serie perchè ogni lampadina in parallelo è collegata con una linea indipendente e quindi ognuna fruisce di un'uguale differenza di potenziale. Invece, nel collegamento in serie la differenza di potenziale viene divisa tra le singole lampadine.

    • Nel collegamento in parallelo se una lampadina si brucia le altre lampadine continuano a funzionare, invece nel collegamento in serie se una lampadina si guasta si interrompe il circuito e quindi anche le altre lampadine si spengono. Per questo motivo, nelle abitazioni si utilizzano impianti elettrici in parallelo che danno la possibilità di spegnere una lampada indipendentemente dalle altre.

    • Nel collegamento in parallelo la pila si scarica prima di quella nel collegamento in serie.

    Da queste osservazioni si deduce:

    • In un circuito in serie:

      L'intensità di corrente è la stessa per ogni resistenza, la resistenza totale è uguale alla somma delle singole resistenze presenti nel circuito, agli estremi di ogni lampadina si ha una caduta di differenza di potenziale e la somma delle cadute di differenza di potenziale è uguale alla differenza di potenziale totale prodotta dalla pila. Applicando la legge di Ohm si ha:

      ΔV = (R1 + R2 + ... + Rn)i

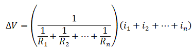
    • In un circuito in parallelo:

      La differenza di potenziale è la stessa per ogni resistenza, l'intensità di corrente in ogni ramo è inversamente proporzionale alla resistenza del ramo e la somma delle intensità di corrente in ogni ramo è uguale all'intensità di corrente totale, la resistenza totale è uguale all'inverso della somma degli inversi delle resistenze. Applicando la legge di Ohm si ha:



© giuseppe sarnataro