Modello dell'inverso del quadrato della distanza

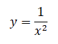
La funzione dell'inverso del quadrato di x:

E' sempre positiva come si vede dal grafico:

E per x che tende a zero y tende all'infinito mentre per x che tende a ±∞ y tende a zero. Questa funzione è utilizzata per descrivere alcuni fenomeni naturali diversi tra loro:

  • La legge di gravitazione universale.

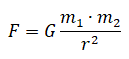
    La legge di gravitazione universale formulata da Isaac Newton (1642-1727) nel 1687 nella sua opera Philosophiae Naturalis Principia Mathematica afferma che:

    Nell'universo ogni corpo materiale attrae ogni altro corpo materiale con una forza che è direttamente proporzionale al prodotto delle loro masse e inversamente proporzionale al quadrato della loro distanza.

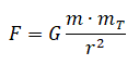
    Tradotto in formula:

    dove F è la forza gravitazionale, G è la costante di gravitazione universale (G=6,674⋅10-11 Nm2kg2), m1 e m2 sono le masse dei due corpi, r2 è il quadrato della distanza fra i centri dei due corpi. Il vettore della forza gravitazionale ha come direzione la retta che congiunge i centri dei due corpi.

    Il verso del vettore dipende dal corpo che si considera; ad esempio se i due corpi sono la Terra e il Sole e si considera che la forza è applicata dal Sole alla Terra il verso va dalla Terra al Sole, viceversa se la forza è applicata dalla Terra al Sole il verso va dal Sole alla Terra. Inoltre, i moduli dei due vettori sono uguali.

    Se manteniamo costante le masse dei due corpi la forza di gravitazione universale, cioè la forza di attrazione reciproca, diminuisce rapidamente con il quadrato della loro distanza, ma non si annulla mai ed è presente anche a una notevole distanza come quelle astronomiche.

    Per Keplero tutti i pianeti del Sistema Solare si muovono su orbite ellittiche e ciò corrisponde al loro moto naturale. Invece, per Newton il moto naturale di un corpo avviene in linea retta e non su un'orbita curvilinea pertanto se un pianeta si muove su un'obita curvilinea allora deve necessariamente essere presente una forza che fa cambiare continuamente la direzione del pianeta e per Newton questa è la forza gravitazionale. La legge di gravitazione universale con una semplice equazione ci ha permesso di comprendere non solo i fenomeni terrestri come ad esempio, la caduta di un oggetto, l'accelerazione di gravità, le maree, la velocità di fuga per lanciare un satellite nello spazio, ... ma anche fenomeni molto lontani dalla Terra come le orbite dei pianeti del nostro Sistema Solare o delle comete, l'attrazione che lega la Luna alla Terra, la Terra al Sole e il Sole alla Via Lattea. Inoltre, questa equazione di Newton ci ha fatto comprendere che una stessa legge può essere applicata sia per gli oggetti terrestri sia per gli astri celesti. Con questa legge è possibile descrivere sia il moto della Luna intorno alla Terra sia il moto della caduta di un corpo sulla Terra. In altre paroe, Newton è riuscito a unificare la meccanica terrestre con la meccanica celeste con un semplice modello matematico. Vediamo alcune applicazioni della legge di gravitazione universale:

    • L'accelerazione di gravità sulla Terra.

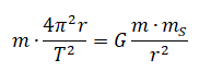
      Tutti i corpi cadono sulla superficie della Terra con moto uniformemente accelerato e dalla seconda legge della dinamica di Newton possiamo definire la forza peso mediante la formula:

      F = m ⋅ g

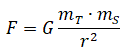
      Dove F è la forza peso, m la massa e g l'accelerazione di gravità. Inoltre, tutti i corpi sono attratti dalla Terra con la forza di gravitazione universale:

      Dove F è la forza di gravitazione universale, G è la costante di gravitazione universale, m la massa del corpo, mT la massa della Terra, r2 è il quadrato della distanza fra i centri dei due corpi. Essendo la forza peso uguale alla forza di gravitazione universale possiamo scrivere:

      Semplificando e supponendo che il corpo sia sulla superficie della Terra si ha:

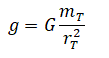
      Dove rT è il raggio della Terra. Da questa formula si deduce, come era già stato osservato sperimentalmente, che l'accelerazione di gravità non dipende dalla massa del corpo, ovvero tutti i corpi cadono sulla terra con la stessa accelerazione, indipendentemente dalla loro massa. Inserendo i dati si ottiene:

      Sulla superficie della Terra il valore dell'accelerazione di gravità non è costante, ma assume valori legermente diversi perchè la Terra non è perfettamente sferica infatti, c'è una differenza di circa 21 km tra il raggio equatoriale e quello polare.

    • L'accelerazione di gravità sulla Luna.

      Con lo stesso ragionamento possiamo calcolare l'accelerazione di gravità su un qualsiasi pianeta o astro conoscendo la sua massa e il suo raggio. Per esempio, conoscendo la massa della Luna (mL=7,35⋅1022 kg) e il suo raggio (rL=1,74⋅106 m) l'accelerazione di gravità sulla Luna è:

      E quindi l'accelerazione di gravità sulla Luna è circa un sesto di quella sulla Terra ne segue che il peso di una persona di 60 kg sulla Terra sulla Luna peserebbe circa 10 kg.

    • Velocità orbitale della Terra.

      L'orbita della Terra intorno al sole è un'ellisse con un'eccentricità molto piccola essendo uguale a 0,0167 e quindi l'orbita della Terra non si disconta molto da un'orbita circolare. Ora, se supponiamo che l'orbita della Terra intorno al Sole sia circolare (per semplificare i calcoli) allora sulla Terra deve agire una forza centripeta diretta verso il centro della circonferenza cioè verso il Sole. Questa forza è la forza di gravità fra il Sole e la Terra.

      Dove mT è la massa della Terra, mL la massa del Sole e r la distanza Terra-Sole.

      L'accelerazione centripeta è direttamente proporzionale al quadrato della velocità e inversamente proporzionale al raggio di curvatura.

      Pertanto la forza centripeta necessaria per mantenere in orbita circolare la Terra è:

      Uguagliando le due forze si ottiene:

      Cioè

      Inserendo i dati si ottiene che la velocità all'afelio è circa 29,53 km/s (106.308 km/h) e la velocità al perielio è circa 30,03 km/s (108.108 km/h) e quindi la velocità orbitale media è di circa 29,78 km/s (107.208 km/h).

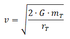
    • Velocità di fuga dalla Terra.

      Se lanciamo un corpo verso l'alto questo arriverà fino a una certa altezza, poi inizierà a scendere e ricadrà al suolo.

      Si intuisce che l'altezza raggiunta dal corpo dipende dalla velocità iniziale di lancio e quindi l'altezza sarà tanto più grande quanto più grande sarà la sua velocità di lancio. Ora, ci si chiede: esiste una velocità minima tale che il corpo, una volta lanciato riesca ad allontanarsi indefinitamente dalla Terra? Sì e questa velocità minima è chiamata velocità di fuga e la velocità di fuga che consente a un corpo di vincere la forza attrattiva della Terra è data dalla formula:

      Inserendo i dati si ottiene che la velocità di fuga di un corpo dalla Terra è uguale a 11200 m/s.

    • La legge di gravitazione universale giustifica le tre leggi di Keplero.

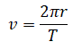
      Ricordiamo che Keplero dedusse le sue tre leggi sui pianeti empiricamente utilizzando i dati delle osservazioni dell'astronomo Tycho Brahe (1546-1601). In altre parole, Keplero non diede una dimostrazione delle sue tre leggi e quindi queste leggi rappresentavano soltanto una possibile descrizione dei moti dei pianeti. Fu Newton, con la sua legge di gravitazione universale a dimostrare la validità di queste tre leggi. Ad esempio, vediamo come è possibile dimostrare la terza legge di keplero utilizzando la legge di gravitazione universale. Consideriamo un pianeta di massa m che orbita attorno al Sole con un periodo di rivoluzione uguale a T. Per semplificare i calcoli consideriamo che l'orbita sia circolare e che la distanza fra il pianeta e il Sole sia costante e uguale a r. In tali condizioni la forza centripeta che agisce sul pianeta è uguale alla forza di gravitazione.

      Ora, nel moto circolare uniforme la velocità à espressa dalla formula:

      E sostituendo nella forula precedente si ottiene:

      E risolvendo rispetto a T2 si ha:

      Dove k è la costante di proporzionalità della terza legge di Keplero e come si vede k dipende, oltre che da G, solo dalla massa del Sole; per questo il valore di k è lo stesso per tutti i corpi orbitanti attorno al Sole.

  • Forza elettrostatica di Coulomb.

    Tutta la materia è costituita da atomi; piccole entità che contengono tre tipi di particelle: elettroni (dotati di carica elettrica negativa), protoni (dotati di carica elettrica positiva) e neutroni (non dotati di carica elettica). Gli atomi sono elettricamente neutri perchè il numero degli elettroni è uguali al numero dei protoni, e quindi la carica positiva dei protoni viene bilanciata dalla carica negativa degli elettroni. Un atomo può facilmente perdere a acquistare un elettrone e quindi assumere una carica elettrica positiva o negativa. Per esperieza, sappiamo che se una penna di plastica viene strofinata con un panno di lana è in grado di attrarre dei pezzettini di carta.

    Perchè succede ciò? Con lo strofinio la penna di plastica si carica negativamente acquistando elettroni e il panno di lana si carica positivamente cedendo elettroni in ugual misura. Pertanto la penna con lo strofinio si è elettrizzata negativamente e attira i pezzettini di carta che sono caricati positivamente. Ora, se strofiniamo due sferette di vetro con un panno di lana le due sferette si respingono perchè hanno assunto la stessa carica elettrica. In altre parole, due corpi elettrizzati si respingono o si attraggono a seconda che abbiano cariche dello stesso segno o cariche di segno opposto, Questa forza di attrazione (fra cariche opposte) o di repulsione (fra cariche dello stesso segno) che agisce tra oggetti elettricamente carichi viene detta forza elettrostatica o forza elettrica. Nel Sistema Internazionale l'unità di misura della carica elettrica è il coulomb indicato con il simbolo C, dal nome dello scienziato francese Charles Augustin de Coulomb (1736-1806). La forza elettrostatica che due cariche puntiformi esercitano l'una sull'altra è descritta dalla legge di Coulomb:

    La forza elettrostatica che due cariche puntiformi esercitano l'una sull'altra è direttamente proporzionale al prodotto delle cariche prese in valore assoluto e inversamente proporzionale al quadrato della loro distanza.

    Dove F è la forza elettrostatica, k la costante di proporzionalità (k=8,99 ⋅ 109 N ⋅ m/C2), q1 e q2 sono le due cariche e r la distanza fra le cariche. Le due forze egiscono lungo la linea che congiunge le due cariche e sono repulsive se le cariche hanno segno uguale, attrattive altrimenti.

    Come si può notare la forza elettrica di Coulomb e la forza di gravità di Newton hanno molte analogie in comune:

    • Entrambe sono inversamente proporzionali al quadrato della distanza.

    • Entrambe dipendono da un prodotto di grandezze: le cariche per la forza elettrica le masse per la forza di gravità.

    • Entrambe agiscono a distanza.

    Ma hanno anche significative differenze:

    • La forza di gravità è solo attrattiva mentre la forza elettrica può essere attrattiva o repulsiva.

    • La forza di gravità agisce sempre mentre la forza elettrica agisce solo tra corpi elettricamente carichi.

  • Illuminamento da una sorgente puntiforme.

    La luce è quella ristretta parte delle radiazioni elettromagnetiche che viene recepita dai fotorecettori della retina dei nostri occhi. La sua lunghezza d’onda va dai 380 ai 780 nm (1 nm = 1⋅10-9 m). La luce bianca non è altro che la miscelazione di radiazioni elettromagnetiche con diverse lunghezze d'onda e l'occhio interpreta le differenti lunghezze d'onda della luce bianca come diversi colori.

    Con l'invenzione della lampadina a incandescenza inventata nel 1878 dall'americano Thomas Edison (1847-1931) possiamo usufruire di una sorgente luminosa artificiale nei vari ambienti senza dover dipendere dalla luce solare. Per evitare fenomeni di affaticamento e fastidi alla vista come l'abbagliamento oppure la difficoltà a distinguere piccoli dettagli è necessario assicurare un sufficiente illuminamento nelle abitazioni o nei vari ambienti di lavoro. Per illuminamento si intende, la quantittà di flusso luminoso che incide in un determinato punto distante dalla sorgente. Anche per l'illuminazione vale la legge dell'inverso del quadrato della distanza:

    Se la sorgente luminosa è puntiforme il valore dell'illuminamento è direttamente proporzionale al valore dell'intensità luminosa ed inversamente proporzionale al quadrato della distanza

    In formula:

    Dove E è l'intensità dell'illuminamento espressa in lux (lx), I l'intensità luminosa della sorgente espressa in candele (cd) e rappresenta la quantità di flusso luminoso di una sorgente di luce in una specifica direzione, d la distanza tra la sorgente e il punto illuminato.

    Per evitare una visione difficoltosa sono stati individuati dei valori limite dell'lluminamento nei vari ambienti, stabilendo una soglia minima assoluta di 20 lux e una soglia massima di 2000 lux.



© giuseppe sarnataro