Modello ellittico

L'ellisse è una curva chiusa ed è una delle quattro sezioni coniche che si forma dall’intersezione tra il cono ed un piano che forma con l’asse del cono un angolo maggiore di alfa ma minore di 90 gradi, dove alfa è l'angolo formato tra l'asse del cono ed una delle sue generatrici.

L'ellisse viene anche definita come un luogo geometrico:

L'ellisse è il luogo dei punti P del piano per i quali è costante la somma delle distanze da due punti fissi F1 e F2 detti fuochi.

Questa particolare proprietà dell'ellisse è molto nota ed è alla base di un'antica e famosa sua costruzione detta costruzione del giardiniere perchè è comunemente adoperata dai giardinieri per tracciare sul terreno aiuole a contorno ellittico. Con la stessa tecnica del giardiniere possiamo costruire un'ellisse utilizzando un foglio di carta, un cartoncino, due puntine, un cordino e una matita. Si mette il foglio di carta sopra il cartoncino e si posizionano le due puntine a una data distanza poi si fissano le estremità del cordino alle due puntine annodandolo, infine si utilizza la punta della matita per tenere teso il filo e si fa scorrere la matita sul foglio, stando attento a mantenere in tensione il filo.

L'ellisse è una figura molto familiare e possiamo vederla in molte circostanze ad esempio, quando incliniamo un pò un bicchiere cilindrico contenente un liquido o osservando l'ombra di un oggetto rotondo o la base di un fascio di luce inclinato rispetto al pavimento proveniente da una torcia elettrica o da un faretto.

L'ellisse ha molte applicazioni pratiche nella realtà che ci circonda ad esempio in architettura:

  • Gli anfiteatri romani erano spaziosi edifici scoperti con una forma ellittica leggermente allungata adibiti alle lotte tra i gladiatori. La forma ellittica permetteva, a tutti gli spettatori, di poter vedere e cogliere tutte le fasi dei combattimenti tra i gladiatori. L'anfiteatro più famoso al mondo è l'anfiteatro Flavio, detto Colosseo, Patrimonio dell’Umanità UNESCO dal 1950.

    E' famosa anche Piazza Anfiteatro a Lucca che ha la caratteristica forma ellittica perchè è stata edificata sui resti dell'antico anfiteatro romano eretto nel I o II secolo d.C.

  • La piazza a forma di ellisse più famosa al mondo è quella di San Pietro a Roma realizzata dall'architetto Gian Lorenzo Bernini nel XVII secolo. La piazza situata di fronte alla facciata della chiesa di San Pietro e limitata da due emicicli di colonnato che delimitano lo spazio ellittico dando alla piazza un aspetto monumentale maestoso.

  • Nel Seicento fino alla metà del Settecento si afferma un nuovo stile architettonico denominato Barocco. Uno stile che tende a mettere in evidenza la potenza, la fastosità e lo splendore delle corti e delle famiglie nobili. Un edificio barocco deve suscitare meraviglia e stupore e coinvolgere emotivamente l'osservatore. Per far ciò si utilizzano forme imponenti, ricche di elementi decorativi che sono fantasiosi, bizzarri, artificiosi e sfarzosi. Il tutto crea una sorta di effetto scenografico spettacolare che serve ad esaltare la ricchezza e il potere delle poche famiglie nobiliari. Le linee curve semplici come le circonferenze sono sostituite con linee curve più sinuose come le ellissi che rappresentano una dinamizzazione del cerchio. Gian Lorenzo Bernini e Francesco Borromini furono i massimi interpreti del barocco italiano. Del Bernini si può ammirare la riedificazione della chiesa di Sant'Andrea al Quirinale che presenta una pianta ellittica con cappelle radiali e grande cupola sommitale anch'essa ellittica.

  • La forma di semi ellisse è stata utilizzata per le arcate dei ponti perchè consente di avere una grande luce senza alzare eccessivamente la chiave di volta. Un esempio è il ponte di Santa Trinità a Firenze.

Il modello ellitico è molto presente anche in fisica per capire e spiegare alcuni importanti fenomeni. Ad esempio:

  • Le orbite dei pianeti.

    Il modello cosmologico di Tolomeo (II sec. d.C.) detto anche sistema geocentrico pone la Terra al centro dell'Universo, mentre tutti gli altri corpi celesti ruotano, in orbite circolari, attorno ad essa. Questo modello fu alla base dello studio dei corpi celesti e dei loro moti fino al 1543 quando l'astronomo Niccolò Copernico (1473-1543) propose un nuovo modello detto eliocentrico che pone il Sole al centro del sistema solare, e i pianeti in orbite circolari intorno ad esso. Il modello eliocentrico pur essendo più realistico presentava alcune lacune perchè i dati raccolti con le osservazioni astronomiche non collimavano perfettamente con i dati teorici. Questo problema venne risolto dall'astronomo tedesco Giovanni Keplero (1571-1630), che basandosi sulle osservazioni dell'astronomo danese Tycho Brahe (1546-1601), propose un modello eliocentrico in cui le orbite non sono circolari ma ellittiche. Dall'osservazione dei dati astronomici Keplero dedusse tre leggi che descrivono le orbite e i moti di rivoluzione dei pianeti intorno al Sole.

    • Prima legge di Keplero (detta legge delle orbite): Le orbite descritte dai pianeti intorno al Sole sono ellissi di cui il sole occupa uno dei fuochi.

      Da questa legge si intuisce che la distanza di un pianeta dal Sole non è sempre uguale ma cambia e il punto in cui il pianeta è più distante dal Sole è detto afelio, mentre il punto in cui è più vicino al Sole è detto perielio. Inoltre, le orbite dei pianeti del sistema solare sono ellissi con eccentricità molto piccola, il che significa che le orbite sono quasi circolari. Se consideriamo l'equazione di un'ellisse:

      dove a è il semiasse maggiore e b è il semiasse minore e se indichiamo con c la semidistanza focale e con e l'eccentricità come il rapporto tra la semi distanza focale e il semiasse maggiore possiamo stabilire le seguenti relazioni:

      Da cui si ottiene:

      Ne segue che per l'ellisse il valore dell'eccentricità è compresa tra 0 e 1. In pratica, l'eccentricità misura lo schiacciamento dell’ellisse sul suo asse maggiore: più il valore dell'eccentricità si avvicina a zero, meno l'ellisse è schiacciata sull'asse maggiore; se il valore dell'eccentricità è zero (e ciò si verifica se i due semiassi a e b sono uguali) l'ellisse diventa una circonferenza per cui la circonferenza può essere considerata un caso particolare di ellisse. Se fissiamo il semiasse maggiore a possiamo vedere con il seguente gafico come si riduce il semiasse minore b al crescere di e.

      Ad esempio, l'orbita ellittica della Terra ha l'eccentricitàà di 0,0167 e nel perielio la Terra dista 147,1⋅106 km dal Sole, mentre nell'afelio dista 152,1⋅106 km.

    • Seconda legge di Keplero (detta legge delle aree): Durante il movimento del pianeta, il raggio che unisce il centro del Pianeta al centro del Sole (raggio vettore) descrive aree uguali in tempi uguali.

      Keplero intuí che un pianeta, nel corso del proprio moto di rivoluzione, non ha sempre la stessa velocità e con la sua seconda legge spiegò come varia la velocità di un pianeta quando percorre la sua orbita ellittica intorno al Sole.

      Le aree in grigio hanno la stessa area pertanto gli archi ellittici AB e CD vengono percorsi dal pianeta nello stesso tempo questo significa che la velocità del pianeta è maggiore quando è più vicino al Sole. In altre parole, la velocità del pianeta è maggiore al perielio e minore all'afelio. Questo giustifica perchè nel nostro emisfero boreale la primavera (dal 21 marzo al 21 giugno) e l'estate (dal 22 giugno al 22 settembre) hanno complessivamente sette giorni in più rispetto all'autunno (dal 23 settembre al 21 dicembre) e all'inverno (dal 22 dicembre al 20 marzo).

    • Terza legge di Keplero (detta legge dei periodi): Il periodo T di rivoluzione di un pianeta attorno al Sole è proporzionale alla distanza media r del pianeta dal sole elevata a 2/3.

      Espresso in formula:

      T = kr2/3

      Da ciò si deduce che maggiore è la distanza media dal sole e maggiore è il periodo di rivoluzione del pianeta e quindi un pianeta vicino al Sole percorre la sua orbita più rapidamente di uno lontano. Questa legge viene espressa anche come:

      Il rapporto tra il cubo del semiasse maggiore r dell'orbita e il quadrato del periodo T di risoluzione è lo stesso per tutti i pianeti.

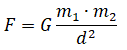
    Le tre leggi di keplero che si basavano sui dati delle osservazioni astronomiche non spiegano quali sono le cause fisiche per cui le orbite dei pianeti sono ellissi e non circonferenze e perchè un pianeta che ruota intorno al Sole non ha sempre la stessa velocità. La spiegazione a questi due quesiti fu data da Newton: il Sole esercita sui pianeti una forza di attrazione gravitazionale che ha l'effetto di una forza centripeta che obbliga i pianeti a seguire una traiettoria curvilinea chiusa intorno a sè. Partendo da quest'idea Newton scoprí la legge della gravitazione universale:

    Due corpi sferici si attraggono a vicenda esercitando l'uno sull'altro una forza direttamente proporzionale al prodotto delle loro masse, e inversamente proporzionale al quadrato della distanza che separa i loro centri.

    dove F è la forza gravitazionale, G è la costante di gravitazione universale (G=6,674⋅10-11 Nm2kg2), m1 e m2 sono le masse dei due corpi, d2 è il quadrato della distanza tra i due corpi. Il vettore della forza gravitazionale ha come direzione la retta che congiunge i centri dei due corpi.

    La forza gravitazionale diminuisce rapidamente con il quadrato della distanza d, ma non si annulla mai.

    Questa legge è detta universale perchè è applicabile sia per corpi piccoli come gli atomi sia per corpi grandi come le stelle. La forza gravitazionale agisce a distanza ed è presente ovunque ci siano corpi dotati di massa; è questa forza che obbliga la Luna a ruotare intorno alla Terra o far cadere un corpo al suolo.

    La forza di attrazione gravitazionale tra due corpi di massa piccola, come per esempio quella fra due bicchieri posati su un tavolo, è irrilevante perchè è molto piccolo il valore di G (0,00000000006674). Ben diverso è il caso nel quale almeno una delle due masse è molto grande come ad esempio la massa della Terra (5,972⋅1024 kg). Dalla legge di gravitazione si deduce che i pianeti e alcuni corpi celesti seguono traiettorie ellittiche perchè non hanno sufficiente velocità orbitale per sfuggire dal campo gravitazionale generato dal Sole. In altre parole, i pianeti sono obbligati a seguire un moto periodico perchè sono legati al Sole dalla forza gravitazionale e non possono rompere questo legame perchè non hanno sufficiente velocità di fuga cioè la velocità minima con la quale un corpo deve muoversi per potersi allontanare indefinitamente da una sorgente di campo gravitazionale. Quando un pianeta seguendo la sua orbita, si avvicina al Sole la forza di attrazione gravitazionale aumenta perchè a parità di masse diminuisce la distanza fra il pianeta, e il Sole e ciò determina un incremento della velocità orbitale del pianeta. La velocità orbitale del pianeta diventa massima nel suo perielio. Nel perielio il pianeta ha acquistato sufficiente velocità per allontanarsi dal Sole ma man mano che si allontana dal Sole il pianeta perde a poco a poco la velocità che aveva acquistato per cui nell'afelio non ha più la velocità sufficiente per allontanarsi ulteriormente dal Sole. Nell'afelio il pianeta ha la minima velocità e da quel punto in poi inizia ad avvicinarsi di nuovo al Sole acquistando sempre più velocità fino a raggiungere di nuovo il perielio cosí come aveva fatto nel passaggio precedente. E questo ciclo si ripete indefinitamente perchè la forza gravitazionale del Sole agisce sul pianeta come un acceleratore quando questo si avvicina al Sole e da freno quando si allontana. Consideriamo la Terra e la sua orbita intorno al Sole e determiniamo la sua velocità orbitale all'afelio e al perielio uguagliando la forza di attrazione gravitazionale esercitata dal Sole con la forza centripeta che tiene il pianeta in orbita intorno al Sole.

    dove mS e mT sono le masse del Sole e della Terra, v è la velocità orbitale della Terra e d è la distanza fra i centri del Sole e della Terra. Semplificando e risolvendo rispetto a v si ottiene:

    Inserendo i dati si ottiene che la velocità all'afelio è circa 29,53 km/s (106.308 km/h) e la velocità al perielio è circa 30,03 km/s (108.108 km/h) e quindi la velocità orbitale media è di circa 29,78 km/s (107.208 km/h). Questa velocità è non è sufficiente perchè la velocità minima con la quale la Terra deve muoversi per potersi allontanare indefinitamente dal campo gravitazionale del Sole è di circa 42 km/s (151.200 km/h).

    Ma perchè le orbite planetarie sono ellittiche e non perfettamente circolari?

    La circonferenza è una particolare ellisse in cui il semiasse maggiore è uguale al semiasse minore e quindi tutti i sui punti sono equidistanti dal suo centro. Questo implica che una circonferenza ha infiniti assi di simmetria. Se un pianeta orbitasse intorno al Sole seguendo un'orbita perfettamente circolare dovrebbe essere soggetto a una forza centripeta costante e quindi avere una velocità tangenziale costante. Inoltre, sia il pianeta sia il Sole dovrebbero essere dei corpi perfettamente sferici. Nella realtà, il Sole e i pianeti non sono corpi perfettamente sferici inoltre, la presenza di altri pianeti e delle Lune esercitano reciprocamente delle forze di attrazione per cui l'orbita di ciascun pianeta dipende sia dalla gravità del Sole ma anche da quella combinata di tutti gli altri pianeti. La combinazione di tutte queste forze è asimmetrica e quindi l'orbita del pianeta non può avere la stessa simmetria di un'orbita perfettamente circolare.

  • Le orbite dei satelliti artificiali.

    Per satellite artificiale si intende un veicolo spaziale costruito dall'uomo e lanciato in orbita attorno alla Terra o ad un altro corpo celeste per scopi scientifici o tecnologici. Il primo satellite artificiale denominato Sputnik 1 fu lanciato il 4 ottobre 1957, da allora sono più di 7000 i satelliti artificiali lanciati nello spazio.

    Col tempo i satelliti artificiali hanno assunto un ruolo importantissimo nella nostra vita quotidiana fornendoci numerosi servizi tra cui:

    • Dati per le previsioni meteorologiche;

    • Telecomunicazioni wireless per effettuare collegamenti su grandi distanze: (Tv, radio, internet, servizi telefonici);

    • Telerilevamento per monitorare la superficie terrestre;

    • Navigatori satellitari in grado di determinare la posizione di un oggetto con grande precisione (GPS, Galileo);

    • Osservazioni astronomiche mediante telescopi spaziali (Hubble space telescope).

    Un satellite artificiale viene portato in orbita da un razzo vettore. Il razzo viene lanciato verticalmente e mentre sale lentamente si inclina in modo da avvicinarsi tangenzialmente all'orbita desiderata. Per i satelliti inviati intorno alla Terra l'orbita è circolare o ellittica e la sua forma dipende dalla velocità di lancio. Se la velocità di lancio è di 7,91 km/s si ha un'orbita circolare mentre, se è compresa tra 7,91 km/s e 11,2 km/s si ha un'orbita ellittica.

    La velocità di 11,2 km/s è detta velocità di fuga. Un satellite lanciato con questa velocità o con una velocità maggiore sfugge all'attrazione gravitazionale terrestre.

  • La riflessione ellittica.

    Una superficie ellittica riflettente possiede un'importante proprietà ottica:

    Ogni raggio di luce (o onda sonora) che ha origine in uno dei due fuochi viene riflesso dalla superficie ellittica nell'altro fuoco.

    Questa proprietà deriva dalla legge della riflessione della luce:

    Il raggio incidente e il raggio riflesso formano con la perpendicolare allo specchio piano nel punto d’incidenza angoli uguali e complanari.

    Nel caso della superficie riflettente ellittica:

    Il raggio incidente e il raggio riflesso formano con la perpendicolare alla tangente della curva nel punto di incidenza angoli uguali e complanari.

    Questa proprietà giustifica perchè in una sala molto grande con il soffitto a forma ellittica due persone poste nei due fuochi possono discorrere chiaramente anche con un tono di voce bassa.



© giuseppe sarnataro