Modello di figura piana ad ampiezza costante

Se si fa rotolare un cerchio su una retta e in ogni istante consideriamo il punto A di contatto tra il cerchio e la retta e il relativo punto A' simmetrico di A rispetto al centro O del cerchio possiamo osservare che la distanza AA' rimane sempre costante e uguale al diametro d del cerchio.

In altre parole, il cerchio quando rotola su una superficie piana è sempre cotenuto tra due rette parallele a distanza fissa uguale al diametro d del cerchio. Per questo motivo si dice che il cerchio è una figura piana ad ampiezza costante e naturalmente si dice anche che la circonferenza è una curva chiusa ad ampiezza costante. Questa proprietà del cerchio e della circonferenza è molto importante ed è alla base di una straordinaria invenzione dell'uomo: la ruota.

La ruota è stata inventata intorno al 3.500 a.C. in Mesopotamia dai Sumeri e ha rivestito e ancora riveste un ruolo molto importante nella nostra vita quotidiana. Per la sua versalità, la ruota ha avuto ed ha tuttora innumerevoli applicazioni in vari campi ad esempio, nella lavorazione del vasellame, nella macinazione dei prodotti agricoli, nei mulini idraulici, ...

Inoltre, la ruota viene utilizzata sopratutto nel trasporto perchè presenta due grossi vantaggi:

  • La ruota quando rotola ha solo una piccola parte di superficie a contatto con il suolo e quindi l'attrito statico tra la ruota e il suolo è minimo.

  • Una tavola di legno sostenuta su quattro ruote in movimento non subisce sobbalzi e se appoggiamo sulla tavola un bicchiere d'acqua la superficie dell'acqua non subisce scossoni e l'acqua non fuoriesce dal bicchiere.

Ci sono infinite altre figure piane ad ampiezza costante, quella più semplice oltre il cerchio fu proposta dall'ingegniere matematico Franz Reuleaux (1829-1905) e chiamata in suo onore triangolo di Reuleaux. Per ottenere questa figura si costruisce un triangolo equilatero ABC e si tracciano tre archi di circonferenza che hanno centro nei vertici A, B, C con raggio uguale al lato del triangolo e sottesi dalle corde AB, BC, CA.

L'ampiezza costante di questa figura è uguale al lato del triangolo equilatero e quindi quando rotola su una superficie piana è sempre cotenuta tra due rette parallele a distanza fissa uguale al lato del triangolo ABC in essa contenuto.

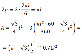
In un triangolo di Reuleaux di ampiezza l il perimetro è composto da tre archi e ogni arco è un sesto di circonferenza di raggio l, mentre l'area è composta da un triangolo equilatero di lato l e da tre segmenti circolari di raggio l e angolo al centro di 60°. Pertanto, il perimetro e l'area del triangolo di Reuleaux di ampiezza l sono rispettivamente:

Se confrontiamo il cerchio e il triangolo di Reuleaux a parità di ampiezza possiamo verificare che hanno lo stesso perimetro ma il triangolo di Reuleaux ha una minor superficie. Il triangolo di Reuleaux ha sorprendenti applicazioni in meccanica e in altri campi.

  • Può essere inscritto in un quadrato come si vede in figura:

    Se viene fatto ruotare in modo opportuno i suoi bordi restano sempre tangenti ai quattro lati del quadrato. Questa proprietà ha una singolare applicazione: costruendo una punta da trapano con una forma che deriva dal triangolo di Reuleaux è possibile fare dei fori quadrati con gli angoli un pò arrotondati ma con i lati rettilinei. Per realizzare questa punta da trapano il triangolo di Reuleaux &232 reso concavo in modo da favorire sia il taglio dei bordi sia la fuoriuscita dei trucioli.

    Il brevetto per la punta da trapano per fori quadrati è stato depositato da Harry Watts, della Watts Brothers Tool Works.

  • La Mazda RX-7 è un'automobile sportiva costruita dalla Mazda tra il 1978 e il 2002.

    Questa vettura ha un particolare motore inventato dal tedesco Felix Wankel. Questo motore al posto dei classici pistoni di forma cilindrica ha un rotore a forma di triangolo di Reuleaux.

  • Per suonare alcuni strumenti a corde come la chitarra o il mandolino si utilizzano dei plettri che generalmente hanno la forma di un triangolo di Reuleaux perchè con questa forma è possibile pizzicare le corde indifferentemente con una delle tre punte. Inoltre, con plettri di questa forma si ha anche il beneficio di avere la punta più adatta per far vibrare le corde efficacemente e ottenendo cosí suoni più netti.

  • Il triangolo di Reuleaux è stato utilizzato per creare oggetti particolari che si avvantaggiano delle proprietà di questa figura, ad esempio tavolini che a parità di perimetro rispetto al cerchio hanno un minor ingrombo o un aspirapolvere robobotico che permette di aspirare meglio la polvere negli angoli.

Oltre al cerchio e al triangolo di Reuleaux esistono infinite altre figure di ampiezza costante. Queste figure si possono ottenere in vari modi:

  • Da un qualsiasi poligono regolare con un numero dispari di lati.

    Ad esempio, da un pentagono regolare tracciando archi di circonferenza con raggi uguali alle diagonali del pentagono e con centro nei pertici del poligono si ottiene il poligono di Reuleaux:

  • Da un qualsiasi poligono irregolare convesso con un numero dispari di lati per il quale le lunghezze delle diagonali che congiungono ciascun vertice con due vertici opposti sono tutte uguali tra loro.

    Ad esempio, da un pentagono irregolare con le diagonali tutte uguali tra loro si ottiene la figura di ampiezza costante uguale alla diagonale del poligono:

    Queste figure a ampiezza costante non sono simmetriche.

  • Prolungando con la stessa lunghezza i lati di un poligono regolare con un numero dispari di lati.

    Ad esempio, prolungando con la stessa lunghezza i lati del triangolo equilatero e tracciando archi di circonferenza con centro nei vertici si ottiene la seguente figura ad ampiezza costante senza spigoli.

Per le figure ad ampiezza costante vale la seguente regola:

Tra tutte le figure con la stessa ampiezza il cerchio è quello di area massima e il triangolo di Reuleaux è quello di area minima, ma tutte queste figura hanno lo stesso perimetro.

La moneta inglese da 20 pence ha la forma di una curva di ampiezza costante ottenuta da un ettagono regolare e questa particolare forma fu scelta per facilitare il riconoscimento della moneta da parte dei non vedenti.



© giuseppe sarnataro