Modello matematico e metodo scientifico

Da sempre gli scienziati hanno osservato i fenomeni naturali e hanno tentato di descriverli e di capire la loro origine stabilendo anche le leggi generali che li governano. Con Pitagora nasce l'idea di poter rappresentare la realtà che ci circonda tramite la matematica. Pitagora udendo i suoni che venivano dalla bottega di un fabbro, notò che alcuni erano dissonanti mentre altri si accordavano bene insieme. Entrato nella bottega scoprí che i suoni consonanti venivano prodotti da martelli i cui pesi erano in rapporto 2 a 1 oppure 3 a 2 oppure 4 a 3. Tornato a casa, osservò che otteneva gli stessi suoni consonanti utilizzando gli stessi rapporti con le lunghezze delle corde di uno strumento come la lira. Da ciò comprese che doveva esistere un particolare legame tra musica e matematica: ad alcuni rapporti fra numeri interi corrispondono rapporti armonici fra note musicali. Pitagora espresse questo legame con il famoso detto: tutto è numero. Ma solo a partire dal 1600 con Galileo Galilei (1564-1642) si comprese che le leggi che governano i fenomeni naturali possano essere espresse in forma matematica. Galileo nella sua opera Il Saggiatore scrive:

La filosofia è scritta in questo grandissimo libro che continuamente ci sta aperto innanzi agli occhi (io dico l'universo), ma non si può intendere se prima non s'impara a intendere la lingua e conoscer i caratteri nè quali è scritto. Egli è scritto in lingua matematica e i caratteri son triangoli, cerchi ed altre figure geometriche, senza i quali mezzi è impossibile a intenderne umanamente parola; senza questi mezzi è un aggirarsi vanamente per un oscuro labirinto.

Ad esempio, Galileo era interessato al fenomeno della caduta libera di un oggetto e cercò di esprimere in forma matematica la teoria di Aristotele che affermava:

Un oggetto cade a velocità costante e proporzionale al suo peso.

Ma, con i suoi esperimenti Galileo scoprí che gli oggetti in caduta libera incrementano la velocità cioè, accelerano e cadono tutti indipendentemente dal peso con la stessa velocità. Con questa scoperta Galileo affermò un principio che ancora oggi non è intuitivo: se nello stesso istante lasciamo cadere due oggetti di peso diverso, questi toccheranno terra contemporaneamente. Per Galileo l'apparente complessità dei fenomeni naturali nasconde delle leggi che possono essere tradotte nel linguaggio semplice, ma logico e razionale della matematica pertanto la realtà che ci circonda può essere epressa mediante un modello matematico. Ma cos'è un modello matematico? Un modello matematico è una relazione tra grandezze costanti e variabili che viene espressa mediante un'uguaglianza detta equazione o funzione o legge che permette di prevedere l'evoluzione di un fenomeno nel tempo. Se una grandezza dipende da altre grandezze, allora è possibile fare delle previsioni sul suo valore quando le altre variano. Il modello matematico proposto da Galileo che spiega la caduta di un corpo è espresso dall'equazione:

s = k ⋅ t2

Cioè la distanza s coperta da un corpo in caduta è direttamente proporzionale al quadrato del tempo necessario a coprire tale distanza. In altre parole, un oggetto non cade a velocità costante ma cade con accelerazione costante e la distanza percorsa dall'oggetto in caduta libera dipende dal quadrato del tempo. Però questa legge non spiga perchè la caduta di un corpo non dipende dal suo peso. Studiare un fenomeno naturale con l'aiuto di un modello matematico presenta due vantaggi:

  • Poter ottenere previsioni quantitative che possono essere facilmente verificate con degli esperimenti.

  • Poter rappresentare le relazioni fra le grandezze mediante un grafico. Le rappresentazioni grafiche spesso ci aiutano a capire meglio le relazioni fra grandezze.

Da un modello matematico si possono ottenere delle deduzioni che nel loro insieme sono in grado di interpretare (per le scienze sperimentali) i fatti sperimentali noti e di prevederne di nuovi. In sintesi, un modello matematico può essere tradotto in una teoria che risulta efficace se le sue previsioni coincidono con i dati acquisiti mediante esperimenti in laboratorio. Nella ricerca del modello matematico per descrivere un dato fenomeno Galileo utilizzò una particolare procedura che viene detta metodo scientifico che ancora oggi è utilizzato da tutti gli scienziati ed è considerato lo strumento più efficace per affrontare lo studio di un fenomeno. Questo metodo si basa su una serie di passi da eseguire:

  • individuare il problema;

  • formulare un'ipotesi sulla sua soluzione;

  • prevedere le conseguenze di qust'ipotesi;

  • compiere esperimenti per verificare le previsioni;

  • descrivere mediante il modello matematico le relazioni fra le grandezze che entrano in gioco e che sono state rilevate nei passi precedenti (ipotesi, previsioni e esperimenti).

Che possiamo rappresentare mediante il diagramma di flusso:

Galileo intuisce che è possibile mettere in relazione i dati che si ottengono dalla fase sperimentale con gli oggetti astratti della matematica. Poter esprimere un fenomeno naturale mediante un modello matematico risulta poi più facile sottoporlo a una verifica e confutarlo se le previsioni non coincidono con i più recenti dati sperimentali. Il cosmologo, fisico, astrofisico e matematico Stephen William Hawking (1942–2018), ha scritto:

Una teoria è una buona teoria se soddisfa due condizioni: deve descrivere accuratamente un'estesa serie di osservazioni sulla base di un modello [matematico] che contiene solo pochi elementi arbitrari, e deve fare predizioni precise riguardo ai risultati di osservazioni future ... tutte le teorie fisiche sono provvisorie, nel senso che sono solo ipotesi: non possono essere mai completamente provate. Non importa quante volte i risultati di un esperimento sono in accordo con una teoria, non si può mai essere completamente sicuri che la prossima volta i risultati non saranno in contraddizione con la teoria. D'altra parte, si può smentire una teoria con una sola osservazione che sia in contrasto con le predizioni della teoria.

Questa continua verifica tra dati sperimentali e il corrispondente modello matematico è di importanza fondamentale perchè consente di valutare la bontà del modello o di operare successivi miglioramenti per renderlo più efficace e corrispondente alla realtà. Ad esempio, il modello matematico di Galileo sulla caduta libera di un corpo fu migliorato da Isaac Newton mediante l'equazione:

dove g è l'accelerazione di gravità. Newton mostrò che i corpi che cadono sulla Terra e i moti dei corpi celesti ubbediscono allo stesso modello matematico espresso dalla legge di gravitazione universale:

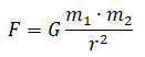
Nell'universo ogni corpo materiale attrae ogni altro corpo materiale con una forza che è direttamente proporzionale al prodotto delle loro masse e inversamente proporzionale al quadrato della loro distanza.

Tradotto in un'equazione:

dove F è la forza gravitazionale, G è la costante di gravitazione universale (G=6,674⋅10-11 Nm2kg2), m1 e m2 sono le masse dei due corpi, r2 è il quadrato della distanza fra i centri dei due corpi. Per Newton se un corpo è in accelerazione allora c'è una forza che la genera e nel caso della caduta libera questa forza è quella attrattiva della gravità. Utilizzando le sue tre leggi della dinamica e la legge di gravitazione universale Newton determinò la legge che permette di determinare il valore dell'accelerazione di gravità:

dove mT è la massa della Terra, rT è il raggio della Terra. Ora, da questa formula si vede che g non dipende dalla massa dell'oggetto che cade e che g è costante e per questo motivo la caduta di un corpo non dipende dal suo peso. Con Newton nasce la convinzione che uno stesso modello matematico in virtù del suo linguaggio simbolico universale e astratto è in grado di descrivere fenomeni anche in ambiti molto diversi (fisica, biologia, economia, ...). Grazie al metodo scientifico e al modello matematico la scienza ha raggiunto importanti risultati tanto da cambiare completamente la nostra vita quotidiana.



© giuseppe sarnataro