Indietro
Eseguendo dei passaggi logici di equivalenza possiamo scrivere: E quindi: Pertanto n deve essere uguale a 82 perchè è il più piccolo numero naturale maggiore di 81.
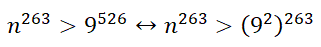
Eseguendo dei passaggi logici di equivalenza possiamo scrivere:
E quindi:
Pertanto n deve essere uguale a 82 perchè è il più piccolo numero naturale maggiore di 81.