Indietro
Se indichiamo con n la cifra che precede il 5 possiamo scrivere: Pertanto nel nostro caso si ha: 452 = 4 ⋅ 5 ⋅ 100 + 25 = 20 ⋅ 100 + 25 = 2025 752 = 7 ⋅ 8 ⋅ 100 + 25 = 42 ⋅ 100 + 25 = 4225 952 = 9 ⋅ 10 ⋅ 100 + 25 = 90 ⋅ 100 + 25 = 9025
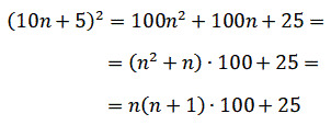
Se indichiamo con n la cifra che precede il 5 possiamo scrivere:
Pertanto nel nostro caso si ha:
452 = 4 ⋅ 5 ⋅ 100 + 25 = 20 ⋅ 100 + 25 = 2025 752 = 7 ⋅ 8 ⋅ 100 + 25 = 42 ⋅ 100 + 25 = 4225 952 = 9 ⋅ 10 ⋅ 100 + 25 = 90 ⋅ 100 + 25 = 9025