Il cammino più breve su un cubo
Qual è il cammino più breve tra due città situate in una grande pianura? Semplifichiamo questo problema domandandoci: qual è il tratto più breve tra due punti A e B appartenenti allo stesso piano?
![]()
La risposta è ovvia è il segmento di retta che congiunge i due punti. Possiamo renderci conto di ciò con un esperimento. Se su una tavoletta di legno mettiamo un elastico teso tra due chiodini, l'elastico si dispone sul percorso più breve, si dispone cioè sul segmento che unisce i due chiodini. Se allontaniamo l'elastico da questa situazione e poi lo molliamo l'elastico torna a ridisporsi lungo il percorso minimo.
Complichiamo il problema iniziale. Siamo nella città A e dobbiamo andare nella città B passando prima a prendere l'acqua al fiume CD. Le due città sono equidistanti dal fiume e non c'è nessun ostacolo lungo i vari cammini che possiamo percorrere. Quale di questi cammini è quello più breve? Utilizziamo ancora un modello; sulla tavoletta di legno oltre ai due chiodini A e B mettiamo altri due chiodini C e D in modo che le distanze AC e BD siano congruenti. Tra i chiodini C e D fissiamo un filo di ferro contenente un anellino libero di scorrere lungo il filo. Ora mettiamo un elastico teso tra A e l'anellino e tra B e l'anellino. L'elastico si disporrà sul cammino più breve.
![]()
Possiamo cosí vedere che l'anellino si fermerà nel punto medio E' tra C e D. Il triangolo AE'B è isoscele perchè i due tratti AE' e E'B sono uguali. Ora, se tracciamo la perpendicolare a CD passante per il punto E' vedremo che gli angoli AE'F e BE'F sono congruenti perchè E'F è la bisettrice dell'angolo al vertice del triangolo isoscele AE'B.
![]()
Questi due angoli si chiamano rispettivamente angoli di incidenza e di riflessione. In conclusione possiamo dire che si ha il cammino più breve quando l'angolo di riflessione è uguale a quello di incidenza. Questa regola deriva dalla legge di riflessione della luce. Quando un raggio di luce colpisce una superficie viene in parte assorbito e in parte riflesso e si ha che l'angolo di incidenza è sempre uguale all'angolo di riflessione. Anche il raggio di luce sceglie il cammino più breve possibile.
Consideriamo un cubo di lato unitario. Siano A e B due vertici opposti che non appartengono alla stessa faccia. Supponiamo di muoverci sulla superficie del cubo e chiediamoci: qual è il percorso più breve che unisce A con B? Il percorso indicato in figura è quello piè breve?
![]()
Il cammino AB rappresentato in figura è costituito da due segmenti uno uguale alla lunghezza di uno spigolo, l'altro uguale alla lunghezza della diagonale di una faccia. Questi due segmenti non sono uguali. La lunghezza complessiva di questo cammino è 1 + √2 che approssimativamente è uguale a 2,41. Mettiamo un elastico teso tra i due vertici e osserviamo come si dispone.
![]()
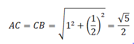
L'elastico attraversa lo spigolo DE in C che è il punto medio dello spigolo e i due tratti AC e CB sono questa volta congruenti. Con il teorema di Pitagora possiamo determinare AC e CB che sono lunghi rispettivamente
![]()
Il tratto AB dell'elastico uguale a AC + CB è dunque lungo √5 che approssimativamente è uguale a 2,24. Quindi questo cammino è più breve di quello precedente. Osserviamo anche che i due triangoli rettangoli ADC e BEC sono congruenti e quindi anche gli angoli ACD e BCE sono congruenti cioè gli angoli che l'elastico forma con lo spigolo DE sono congruenti. In altre parole, in questo cammino gli angoli di incidenza e di riflessione sono congruenti. Tutte queste considerazioni ci portano a concludere che è questo il cammino più breve tra A e B.
C'è anche un altro modo più semplice per stabilire qual è il cammino più breve tra i due vertici A e B. Immaginiamo di aprire il cubo in modo da ottenere un suo possibile sviluppo sul piano. Nello sviluppo piano individuiamo dove si trovano i vertici A e B. Ora, nel piano il cammino più breve tra due punti è il segmento che li unisce.
![]()
Come possiamo vedere dalla figura questo segmento taglia lo spigolo DE nel suo punto medio C. Inoltre, il segmento AB forma con lo spigolo DE angoli opposti al vertice che come sappiamo sono congruenti. Se ricomponiamo il cubo vedremo che il segmento e l'elastico si sovrappongono. Volendo tracciare su questo sviluppo il primo cammino, quello costituito da uno spigolo e da una diagonale di una faccia, avremmo non un segmento ma la spezzata costituita dai segmenti AD e DB. Possiamo cosí vedere che i due cammini formano un triangolo ottusangolo scaleno dove AB è il lato maggiore. Ora in un triangolo un lato è sempre minore della somma degli altri due lati e quindi AB è minore di AD + DB.
Torniamo al primo cammino quello più lungo. Quanti di questi cammini, tutti equivalenti, possiamo tracciare? Sono sei.
![]()
Nella figura sono AC-CB, AD-DB, AE-EB, AF-FB, AG-GB, AH-HB. Questi cammini presi a due a due formano il contorno di una sezione rettangolare massima come ad esempio ACBG. Prendiamo in considerazione il cammino più breve. Quanti di questi cammini, tutti equivalenti, possiamo tracciare? Anche in questo caso i cammini sono sei.
![]()
Nella figura sono AC-CB, AD-DB, AE-EB, AF-FB, AG-GB, AH-HB. Questi cammini presi a due a due formano il contorno di una sezione quadrilatera equilatera, come ad esempio ADBG. Il quadrilatero ADBG è un quadrato? No, perchè le diagonali AB e DG non sono uguali. AB è uguale a √3 e DG è uguale a √2 e quindi il quadrilatero ADBG non è inscrittibile in una circonferenza. In conclusione possiamo dire che questo quadrilatero è un rombo.
![]()
Se A e B sono i punti medi di due spigoli opposti qual è il cammino più breve che unisce A con B?
![]()
In questo caso la risposta è semplice perchè il cammino più breve è la metà del contorno di una sezione quadrata del cubo. Il cammino AB è costituito dai due tratti AC e CB congruenti tra loro e attraversa lo spigolo DE nel suo punto medio C. Gli angoli di incidenza e di riflessione sono congruenti e misurano 90°. Se apriamo il cubo in uno dei suoi possibili sviluppi nel piano vedremo che il cammino AB sarà un segmento. Inoltre, i cammini equivalenti non sono sei ma due; l'altro cammino è quello simmetrico che attraverso lo spigolo opposto a DE.
Supponiamo ora che A e B siano i punti medi di due spigoli non opposti e non appartenenti a una stessa faccia. Qual è il cammino più breve che unisce A con B?
![]()
Tale cammino è costituito da due lati della sezione esagonale regolare che passa per A e B. Perchè? E' l'unico modo per avere gli angoli di incidenza e di riflessione congruenti. Questi due angoli misurano 45° perchè sono gli angoli acuti di due triangoli rettangoli isosceli ADC e CEB. Se apriamo il cubo in uno dei suoi possibili sviluppi vedremo che il cammino AB sarà un segmento. Inoltre, questo cammino è unico, non ci sono altri cammini equivalenti.
Consideriamo un caso generico. Sulla superficie di un cubo abbiamo due generici punti A e B che non appartengono alla stessa faccia. Qual è il cammino più breve che unisce i due punti? Possiamo utilizzare il metodo dell'elastico, cioè tendere un elastico tra i due punti. Vedremo cosí che ogni volta che l'elastico attraversa uno spigolo gli angoli di incidenza e di riflessione sono congruenti. Oppure possiamo immaginare di aprire il cubo in uno dei suoi possibili sviluppi nel piano, individuare sullo sviluppo i due punti e tracciare il segmento AB che li unisce. Poi ricomponiamo il cubo nello spazio e individuiamo sulla superficie in quale spezzata si è trasformata il segmento AB tracciato nel piano.