Triangolo rettangolo inscritto in una circonferenza 2
   

Indietro

Consideriamo anche la circonferenza di raggio r inscritta nel triangolo rettangolo:

Nel quesito 6 abbiamo ottenuta la relazione tra i raggi r, r2 e r3.

E nel quesito 7 abbiamo ottenuto la relazione tra i raggi r e r1.

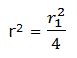
Che possiamo anche scrivere:

Sostituendo si ha:

Cioè: