Triangolo in una semicirconferenze
   

Indietro

Osserviamo la figura

Se indichiamo con a, b, c rispettivamente il cateto minore, il cateto maggiore e l'ipotenusa possiamo scrivere le relazioni che legano il raggio R e i raggi r1 e r2:

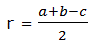
Consideriamo il triangolo rettangolo e la circonferenza inscritta e ricaviamo la relazione che lega il raggio r ai lati del triangolo.

I segmenti BK e BN sono congruenti cosí pure i segmenti AO e AN. Il perimetro del triangolo è

cioè:

E tenendo conto delle relazioni precedenti si ha:

Sostituendo il valore di R nelle tre precedenti uguaglianze si ha:

Applichiamo ora il teorema di Pitagora al triangolo ABC.

Da cui si ottiene: