Indietro
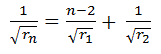
Applicando il risultato del quesito 3 si ha: Generalizzando, non è difficile capire che se le circonferenze sono n allora la relazione tra il raggio rn e i raggi r1 e r2 è:
Applicando il risultato del quesito 3 si ha:
Generalizzando, non è difficile capire che se le circonferenze sono n allora la relazione tra il raggio rn e i raggi r1 e r2 è: