Un cerchio diviso in cinque parti equivalenti
   

Indietro

L'area del quadrato di lato d è uguale a un quinto dell'area del cerchio di raggio r e quindi possiamo scrivere:

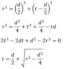
Uniamo il centro della circonferenza con il punto medio di d e con il punto di incontro tra un segmento t e il cerchio in modo da formare un triangolo rettangolo che ha per ipotenusa r e per cateti d/2 e t-d/2.

Applicando il teorema di Pitagora al triangolo rettangolo si ottiene:

E sostituendo d con la relazione precedente si ottiene: