Tre cerchi e tre quadrati
   

Indietro

Un quadrato inscritto in un triangolo rettangolo con un lato sull'ipotenusa divide il triangolo in tre triangoli più piccoli tutti simili a quello iniziale. Ad esempio in figura i triangoli AED, FBG, GCD sono simili al triangolo ABC.

Nel nostro caso i triangolo ABC, DEF, GHI sono simili.

Questo vuol dire che i rapporti tra i lati corrispondenti sono uguali. Ad esempio se consideriamo le ipotenuse possimo scrivere:

E l'ipotenusa del triangolo intermedio è la media geometrica tra l'ipotenusa del triangolo maggiore e l'ipotenusa del triangolo minore.

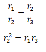
Anche i rapporti tra raggi dei tre cerchi inscritti nei triangoli simili sono uguali e se indichiamo con r1, r2, r3 i tre raggi con r1 > r2 > r3 possiamo scrivere:

E quindi il raggio del cerchio intermedio è la media geometrica tra il raggio del cerchio maggiore e il raggio del cerchio minore.