Un foglio quadrato piegato
   

Indietro

Inseriamo le lettere come si vede in figura.

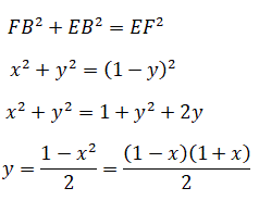
Applicando il teorema di Pitagora al triangolo EBF si ottiene:

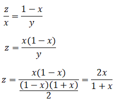
I due triangoli EBF e FCG sono simili pertanto possiamo scrivere:

Applichiamo il teorema di Pitagora al triangolo FCG.

E sostituendo a z la relazione precedente si ottiene:

Essendo HG = 1 - t sostituendo si ottiene:

La relazione che lega il raggio, della circonferenza inscritta in un triangolo rettangolo, con i lati del triangolo è:

E quindi HG = r.