Area di una lunula
   

Indietro

Consideriamo il rettangolo e inseriamo le lettere come si vede in figura:

Si ha:

EGFH è un quadrato e l'angolo EGF è retto

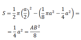
Inoltre, EF essendo il diametro del cerchio tangente ad AB e CD è uguale ad a. Calcoliamo l'area del segmento circolare togliendo dall'area del settore circolare sotteso dall'angolo di 90° l'area del triangolo EGF.

Possiamo ora determinare l'area di una lunula togliendo dalla metà dell'area del cerchio tangente ai due lati del rettangolo l'area del segmento circolare determinato precedentemente.