Un pentagono regolare e sei triangoli rettangoli
   

Indietro

Essendo tutti congruenti i sei triangoli rettangoli possiamo ragionare su un sigolo triangolo rettangolo e inserire le lettere come si vede in figura:

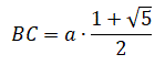
Il triangolo isoscele BCD avendo gli angoli di 72°, 72° e 36° è un triangolo aureo e quindi il rapporto tra un lato obliquo e la base è uguale al numero aureo:

E essendo BD=a si ha:

Ne segue:

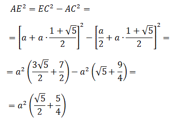
Conoscendo l'ipotenusa EC e il cateto AC del triangolo rettangolo ACE, utilizzando il teorema di Pitagora possiamo scrivere:

Consideriamo ora, il triangolo rettangolo CGE

L'altezza CF relativa all'ipotenusa è congruente ad AE e la proiezione del cateto EC sull'ipotenusa è congruente ad AC. Conoscendo l'altezza e una proiezione possiamo applicare il secondo teorema di Euclide: l'altezza relativa all'ipotenusa è media proporzionale alle proiezione dei cateti sull'ipotenusa.

E risolvendo rispetto ad FG si ottiene:

Possiamo ora determinare l'ipotenusa EG in funzione di a: