Due cerchi in un triangolo equilatero
   

Indietro

Osserviamo la figura

L'altezza CH divide il triangolo equilatero in due triangoli congruenti ACH e BCH. Consideriamo il triangolo BCH e la sua area come somma delle aree di sei triangoli rettangoli:

BCH = COJ + (2⋅BOJ - GKO) + GML + BML + BHM

I due triangoli GKO e GML sono congruenti e nell'uguaglianza tra le aree avendo segni opposti possono essere eliminati, anche i triangoli BML e BHM sono congruenti pertanto possiamo scrivere:

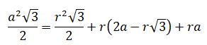
BCH = COJ + 2⋅BOJ + 2⋅BHM

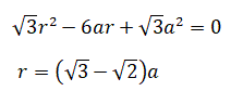
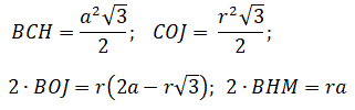
Essendo:

Si ha:

E risolvendo rispetto a r si ottiene: