Sei cerchi, un quadrato e un triangolo
   

Indietro

Osserviamo la figura:

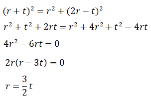
Il lato del quadrato è uguale al doppio del diametro del cerchio di raggio r e quindi misura 4r. Applichiamo il teorema di Pitagora al triangolo rettangolo GHL dove GL=r, GH=2r-t e LH=r+t e ricaviamo r in funzione di t.

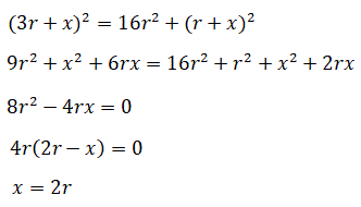
Applichiamo il teorema di Pitagora al triangolo rettangolo DFC dove DF=4r, DC=3r+x e FC=r+x e ricaviamo x in funzione di r.

Pertanto, le dimensioni del triangolo rettangolo sono 3r, 4r, 5r. I due triangoli rettangoli DFC e AMD sono simili e quindi si ha 4r=3R dalla quale si ottiene: