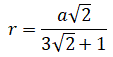
Indietro
Osserviamo la figura: La diagonale AB del quadrato di lato a è data da: AB = AF + FD + DB E essendo: Si ha: E risolvendo rispetto a r si ottiene:
Osserviamo la figura:
La diagonale AB del quadrato di lato a è data da:
AB = AF + FD + DB
E essendo:
Si ha:
E risolvendo rispetto a r si ottiene: