Un triangolo equilatero, un quadrato e una circonferenza
   

Indietro

Osserviamo la figura:

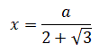
Per costruzione i triangoli rettangoli CHF, FAE, EGF sono congruenti e hanno gli angoli acuti di 30° e 60°. Se indichiamo con x il lato AE possiamo scrivere le due relazioni:

Risolviamo la prima equazione rispetto a x.

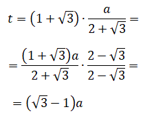
Sostituiamo il valore di x precedentemente trovato nella seconda equazione.

E sviluppando tale equazione si ottiene