Indietro
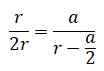
Osserviamo la figura: I due triangoli rettangoli ABO' e ACE sono simili avendo gli angoli corrispondenti congruenti per cui si ha: Essendo: E sostituendo nella uguaglianza si ottiene: E risolvendo rispetto ad a si ha:
Osserviamo la figura:
I due triangoli rettangoli ABO' e ACE sono simili avendo gli angoli corrispondenti congruenti per cui si ha:
Essendo:
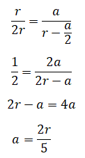
E sostituendo nella uguaglianza si ottiene:
E risolvendo rispetto ad a si ha: