Tre circonferenze in un triangolo equilatero
   

Indietro

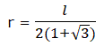
Osserviamo la figura:

La base AB del triangolo equilatero è uguale alla somma di tre segmenti:

AB = AD + DE + EB = l

I triangoli rettangoli ADF e BEG sono congruenti e hanno gli angoli acuti di 30° e 60° e quindi:

Inoltre: DE = 2r. Pertanto

Da cui si ottiene: