Triangolo rettangolo diviso
   

Indietro

Osserviamo la figura:

Indichiamo le misure di AB con a, di BC con b e di EF = HI con x. I due triangoli rettangoli AED, DIC sono sia equivalenti che congruenti e affinchè si abbia la massima area deve essere:

Pertanto, l'area del triangolo AED è:

Consideriamo il rettangolo BHGF: le misure delle sue dimensioni sono:

E quindi la sua area è:

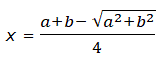
L'area del rettangolo deve essere equivalente all'area del triangolo AED e quindi:

E l'unica soluzione accettabile è: