Cinque quadrati e quattro triangoli rettangoli
   

Indietro

Osserviamo la figura:

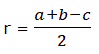
Consideriamo il triangolo ABC e indichiamo con a, b, c rispettivamente i lati BC, CA, AB. La relazione che lega il raggio, della circonferenza inscritta in un triangolo rettangolo, con i lati del triangolo è:

Come si vede dalla figura, possiamo scrivere CA = CD + DA. Ora, CA è stato indicato con la lettera b, CD è il doppio del raggio e possiamo indicarlo con 2r, DA è congruente a BC e possiamo indicarlo con a. Per cui si ha:

E uguagliando le due relazioni del raggio si ha:

Questo significa che i triangoli rettangoli hanno gli angoli acuti di 60° e 30° e quindi:

A questo punto possiamo esprimere il raggio solo in funzione di c.