Un quadrato due triangoli e una circonferenza
   

Indietro

Osserviamo la figura:

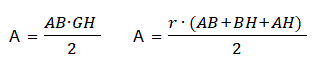
Per determinare il raggio di una circonferenza inscritta in un triangolo qualsiasi possiamo uguagliare i due differenti modi per determinare l'area del triangolo, ad esempio se consideriamo il triangolo ABH si ha:

Quindi:

Bisogna allora determinare i lati e l'altezza del triangolo ABH in funzione di a (lato del quadrato).

I triangoli ABH e ECH sono simili perchè hanno gli angoli corrispondenti congruenti. Il rapporto di similitudine tra i lati e le altezze corrispondenti è:

Essendo FG un segmento parallelo a BC possiamo scrivere:

CB = FH + HG

E tenendo presente che FH è la metà di HG si ha:

E quindi:

Analogamente:

E essendo AC = √2 a si ha:

Analogamente:

Applichiamo il teorema di Pitagora al triangolo BEC per determinare BE in funzione di a.

Ora, abbiamo tutti gli elementi per determinare il raggio r.