Indietro
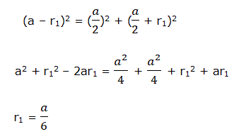
Osserviamo la figura: Applichiamo il teorema di Pitagora al triangolo rettangolo EAF. Essendo: si ha: Applichiamo il teorema di Pitagora al triangolo rettangolo AFH. Essendo: si ha:
Osserviamo la figura:
Applichiamo il teorema di Pitagora al triangolo rettangolo EAF.
Essendo:
si ha:
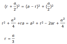
Applichiamo il teorema di Pitagora al triangolo rettangolo AFH.