Quadrato e due circonferenze
   

Indietro

Osserviamo la figura

Il triangolo AEF è rettangolo:

Applichiamo al triangolo AEF il teorema di Pitagora esprimendo i cateti e l’ipotenusa in funzione di a e di r.

Da cui si ottiene:

Il triangolo AEG è rettangolo.

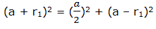
Applichiamo al triangolo AEG il teorema di Pitagora esprimendo i cateti e l'ipotenusa in funzione di a e di r1.

Da cui si ottiene:

Possiamo scrivere:

Cioè: