Grafici di alcune disequazioni irrazionali
Ogni disequazione irrazionale del tipo:
![]()
può essere rappresentata graficamente nel piano cartesiano mediante le equazioni delle due funzioni:
![]()
e evidenziare sul grafico la zona in cui è valida la condizione posta dal segno di disequazione. Vediamo alcuni esempi:
Esempio 1: Risolviamo graficamente la disequazione irrazionale:
![]()
Dai due membri della disequazione ricaviamo le funzioni di equazioni:
![]()
Prima di tracciare il grafico della prima funzione determiniamo il suo dominio ponendo il radicando maggiore o uguale a 0:
x + 1 ≥ 0 → x ≥ -1
Il dominio è quindi l'insieme dei numeri reali maggiori o uguali a - 1
D = {x ∈ R |x ≥ -1}
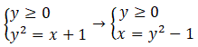
L'equazione
è equivalente al sistema:
![]()
L'equazione x=y2-1 rappresenta una parabola con l'asse di simmetria parallelo all'asse x con vertice V(-1, 0). La condizione y ≥ 0 stabilisce che bisogna considerare solo tutti i punti della parabola di ordinata maggiore o uguale a 0.
![]()
Rappresentiamo la seconda funzione y=x-1 tracciando il grafico per x ≥ -1:
![]()
La disequazione data indica che le ordinate dei punti della parabola devono essere maggiori o uguali alle ordinate dei corrispondenti punti della retta. Le ascisse di questi punti rappresentano le soluzioni della disequazione:
![]()
S = {x ∈ R | -1 ≤ x ≤ 3}Esempio 2: Risolviamo graficamente la disequazione irrazionale:
![]()
Dai due membri della disequazione ricaviamo le funzioni di equazioni:
![]()
Prima di tracciare il grafico della prima funzione determiniamo il suo dominio ponendo il radicando maggiore o uguale a 0:
x + 4 ≥ 0 → x ≥ -4
Il dominio è quindi l'insieme dei numeri reali maggiori o uguali a - 4.
D = {x ∈ R |x ≥ -4}
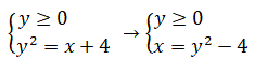
L'equazione
è equivalente al sistema:
![]()
L'equazione x=y2-4 rappresenta una parabola con l'asse di simmetria parallelo all'asse x con vertice V(-4, 0). La condizione y ≥ 0 stabilisce che bisogna considerare solo tutti i punti della parabola di ordinata maggiore o uguale a 0.
![]()
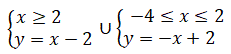
Il grafico della funzione y = |x - 2| è dato dall'unione di un segmento e di una semiretta:
![]()
Rappresentiamo la seconda funzione tracciando il grafico per x ≥ -4. La disequazione data indica che le ordinate dei punti della parabola devono essere minori o uguali alle ordinate dei corrispondenti punti del segmento e della semiretta. Le ascisse di questi punti rappresentano le soluzioni della disequazione:
![]()
S = {x ∈ R | -4 ≤ x ≤ 0 ∨ x ≥ 5}
Esempio 3: Risolviamo graficamente la disequazione irrazionale:
![]()
Il dominio della disequazione è D = {x ∈ R |x ≥ 7/2}
Dai due membri della disequazione ricaviamo le funzioni di equazioni:
![]()
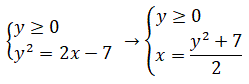
L'equazione
è equivalente al sistema:
![]()
Il grafico del sistema è un arco di parabola con l'asse parallelo all'asse x con vertice V(7/2, 0) e con le ordinate maggiore o uguale a zero.
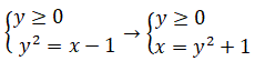
L'equazione
è equivalente al sistema:
![]()
Il grafico del sistema è un arco di parabola con l'asse parallelo all'asse x con vertice V(1, 0) e con le ordinate maggiore o uguale a zero.
Rappresentiamo le due funzioni. La disequazione data indica che le ordinate dei punti della prima parabola devono essere minori o uguali alle ordinate dei corrispondenti punti della seconda parabola. Le ascisse di questi punti rappresentano le soluzioni della disequazione:
![]()
S = {x ∈ R | 7/2 ≤ x < 6}